Duda matemática muy importante
Necesito saber, que operaciones tengo que hacer, para que con solo usando tres 9, me salga un resultado que me de 7
Otro que me de 3, y otro que me de 5
Muchas gracias
1 respuesta
Por cierto la solución para el 3 ya no hace fata, ya la han dado, es esta
(9×Raíz cuadrada de 9)/9=3 ya tengo el resultado del 3
Pues muy difícil.
De momento solo se me ocurre este
$$\begin{align}&\sqrt 9+\sqrt 9-\sqrt 9 = 3+3-3 = 3\end{align}$$
El resultado tiene que acabar solo con un dígito..
Me refiero en eso que pusiste, que no tengo ni idea, jajaja, tendría que acabar en 3
Con el resultado no hay que hacer operaciones, solo con los tres nueves.
Muchas gracias por tu tiempo
Quiero decir que las operaciones realizadas con el 3 no valen.
Las operaciones solo se deben hacer con los 3 nueves, y de esas operaciones, nos tiene que dar el resultado, bien el 5 o el 7, que son los que me faltan.
Haber si con esto lo entiendes.
1 --> 9 / (raíz cuadrada 9 × raíz cuadrada 9) = 1
2 --> (9 + 9) / 9 = 2
3 --> (9 × raíz cuadrada 9) / 9 = 3
4 --> (9 + (raíz cuadrada 9)) / (raíz cuadrada 9) = 4
5 --> ???
6 --> (9 + 9) / raíz cuadrada 9 = 6
7 --> ???
8 --> 9 - (9 / 9) = 8
9 --> 9 + 9 - 9 = 9
10 --> 9 + (9 / 9) = 10
11 --> 99 / 9 = 11
12 --> 9 + (9 / (raíz cuadrada 9)) = 12
Pero si es lo mismo, en la operación primera lo que haces es
9/(sqrt(3) x sqrt(3) = 9 /(3x3) = 9/9 = 1
Has hecho dos operaciones con el 3
En la segunda
(9+9)/9 = 18/2 has hecho una ioperación con el 18
en la tercera
(9xsqrt(3)) / 9 = (9x3) / 9 = 27/9
Has hecho una operación con el 3 y otra con el 27
No entiendo esa restricción. Lo único que he hecho yo es ponerte los pasos intermedios, si prefieres los quito
Sqrt(9) + sqrt(9) - sqrt(9)
¿Esta bien ahora?
Hay una función que se llama signo
signo(x) = -1 si x<0
0 si x=0
1 si x >0
9 - signo(9) - signo(9) = 7
9 - sqrt(9) - signo(9) = 5
Jjajaja Valerio, que yo solo respondí de todo eso al 2, que es muy sencillo.
Si claro tienes razón, que se han usado otras cifras, pero siempre con los 3 nueves.
No se si me entiendes.
Sqrt es la forma internacional de llamar a la raíz cuadrada, de "square root". En cualquier programa de cálculo (salvo Excel por estar traducido) o de gráficas tendrás que emplearlo para expresar una raíz cuadrada.
¿Sirve lo último que he mandado? Creo que no habrá otra forma con funciones más o menos estandar.
Pues ya te informare, yo voy a ponerlo y a ver que me dice el que creo el problema
Un saludo y gracias
Es que si lo ha inventado alguien se le ha podido ocurrir cualquier salvajada y además es el amo de las normas, ya me contarás.
Esperemos que no sea una salvajada, hay muchos compañeros detrás de reto,y según el tienen solución las 2 que faltan.
También nos dice que la operación para sacar el 7 es la mas difícil.
Yo eh subido tu respuesta, tal cual, copiar y pegar, a ver que me dice cuando se conecte.
Un saludo
No se si sigues por hay, pero ya me acaban de preguntar que eso que es,ja ja
¿Vamos haber en la operación para sacar el resultado 5 como es?
Partamos de la base que no tengo ni idea, que soy más burro que un arado.
Es que con esa letras de sqrt y signo me lió, ¿podrías decirme digamos más en castellano que operaciones son?
Perdón si te lió, o te hago perder tiempo, no quisiera eso.
Un saludo
Sería esto
como 9 > 0 entonces
signo(9) = 1
sqrt(9) = 3
luego
9 - sqrt(9) - signo(9) = 5
y
9 - signo(9) - signo(9) = 7
Eso es todo, ya tengo ganas de ver como lo ha hecho el que se lo ha inventado.
Bueno pues me acaba de decir que no las da por buenas, aunque dice que voy bien ,,,,
Pues nada cuando de la solución, te la copio a ver que opinas
Un saludo
Iniciado por Celes ![]()
Bueno a ver cuando entre Veribest si las da por buenas ![]()
9 - signo(9) - signo(9) = 7
9 - sqrt(9) - signo(9) = 5
No, no las doy por buenas. Pero vas bien, hay una operación que no habéis utilizado !
Hay una función que se llama parte entera es muy sencilla
parte entera(3,2) = 3
parte entera(7,234)=7
para números positivos es simplemente quitar los decimales,entonces
parte entera (sqrt(9+9+9)) = 5
Mira a ver si eso le sirve.
A estas que voy a poner ahora no puede decir que no. Si lo hace es un tramposo o ignorante y merece ser abandonado a su suerte. Yo por mi parte doy por resuelto el problema.
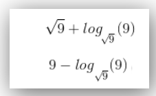
$$\begin{align}&\sqrt 9+log_{\sqrt 9}(9) = 5\\ &\\ &9 -log_{\sqrt 9}(9) =7\\ &\\ &\text {se van mal los subíndices, pero el logaritmo es}\\ &\\ &log_{\sqrt 9}(9) = log_39 = 2\\ &\\ &\text{y con eso salen las respuestas que pide.\end{align}$$
Espera que no se vio bien
$$\begin{align}&\sqrt 9+log_{\sqrt 9}(9) = 5\\ &\\ &9 -log_{\sqrt 9}(9) =7\\ &\\ &\text {se van mal los subíndices, pero el logaritmo es}\\ &\\ &log_{\sqrt 9}(9) = log_39 = 2\\ &\\ &\text{y con eso salen las respuestas que pide.}\end{align}$$
Vaya nochecita,jajajja
Lo subí y mira que me respondió, y lo que no entiendo que quiere decir cuando dice "quedaria mejor"
Si yo veo igual lo tuyo, que lo suyo.
En fin maña sigo.
Que descanses y gracias
- Que me dices de esto Veribest
(sqrt(9+9+9)) = 5
Editar mensaje
Responder
Citar
hoy, 00:40#1068
veribest
Quedaría mejor:
parte entera(sqrt(9 + 9 + 9)) = 5
Pero tampoco me vale !
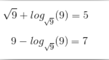
Te lo mando en una imagen, así he podido retocarla para que queden mejor los subíndices:

Vaya, se me olvidó poner el resultado, la primera línea es 5 y la segunda 7.
Perdona mi torpeza, pero sigo sin poder copiarlo, y yo jamas puse esos símbolos, vamos que ni los veo en el teclado.
Es que no es sencillo escribir eso. Lo que tienes ahí es una imagen, pinchando con el botón derecho puedes obtener un enlace a ella que puedes poner en la página web, o la puedes bajar tu y hacer cosas con ella tal como añadir el resultado.
Es que yo no sé como hay que ponerlo en esa página, no se si debe ser texto, ni que caracteres admite, si se puede poner código Latex, etc. Dime cuál es la página y lo miro y te lo digo.
Y lo malo es que en esta página no te puedo poner algunos enlaces a código Latex porque no funcionan.
No te vuelvas muy loco, ya pondré algo así v9 y le daré a entender que el nueve esta debajo de la v, se supone que el lo entenderá.
Es tarde, y ademas se a desconectado ya el compañero.
Mañana lo subo como te dicho y a ver que me responde cuando se conecte.
Te agradezco muchísimo todo tu interés puesto en ayudarme.
Un saludo y hasta mañana,
El sitio donde esta expuesto el reto, no puedes verlo puesto que solo es para socios, pero en cualquier hilo que intentes escribir, comprobaras si se pueden poner dichos caracteres
Ya he visto que te as presentado,, procura no escribir y subir hay lo que tratamos, porque seria sospechso
Ppero a lo que vamos, si puedes poner hay los caracteres, en el otro sitio también, son iguales, lo único que esa zona es para socios y donde as escrito es en abierto
He puesto los resultados en la imagen

Si pinchas con el botón derecho puedes obtener el enlace, es este de aqui, copialo
Lo que tienes que hacer es pinchar en el icono que pone Enlace y pegarlo o bien escribirlo, con suerte saldrá la imagen en el mensaje del foro.
Por cierto te has presentado en un hilo que ya esta abierto por otro forero, probablemente algún moderador te mueva el hilo.
Para abrir hilo, hay que ir donde fuiste a presentaciones, y una vez que abres hay una pestaña que pone " crear tema, se pone el titulo que quieras, y abres hilo nuevo
¡Ah no sé!
Me decían que debía presentarme y no me decían donde, si he hecho algo mal que me lo digan no tiene importancia.
No, como te digo probablemente algún moderador te moverá el post, y lo pondrá en un hilo nuevo que sera el tuyo, donde la gente te va dando la bienvenida.
La pagina de tinypic, ya la conozco porque es la que usamos para subir fotos al hilo.
Pues nada, mañana cuando se conecte el compañero haber que dice.
De nuevo gracias por todo y hasta mañana
Lo que te comentaba antes como comprenderas, esto es un foro sobre la usura bancaria, entonces choca, que entres preguntando por eso, aparte de que no todos los que te lean saben de que hablas.
Lo de os retos no es siempre, ni siempre va de matemáticas, los socios tenemos una zona, en la que no solo se habla de usura bancaria, sino de varios temas, y se charla.
En cualquier caso, bienvenido a FAU, te quedes o no
Y de nuevo gracias por tu ayuda.
Es que ahora en un tema nuevo he visto que se pueden escribir subíndices, pero no sé cómo se haría para que salga el símbolo de la raíz cuadrada, no he visto que admite LaTeX la página.
Es que yo soy poco forero, nunca me han gustado esas normas tan rígidas que tienen, elq ue tengas que mirar todos los hilos para no repetir la pregunta, es un rollo. Esto de TodoExpertos es algo distinto y es lo que me gusta.
Te entiendo perfectamente.
Bueno a lo dicho mañana te informo por aquí, me retiro a descansar ya.
Un saludo
Buenos días, por fin resuelto.
Su respuesta a sido" Me dejas anonadado, ni yo lo hubiera echo mejor "
Pero como la conciencia no me deja tranquilo, al final eh dicho que obtuve ayuda exterior.
Pero correcto, esa ultima respuesta esta de lujo.
Muchas gracias por todo y saludos
Por cierto le preguntado que soluciones tenia el y esto me a contestado.
" utilizaba la operación factorial (!).
Por si no os habéis dado cuenta, acababa todas las respuestas con !, a ver si alguien se acordaba de sus clases de la EGB."
Y una compañera puso esto y le a dicho que perfecto
Iniciado por Inma75 ![]()
Raiz cuadrada de 9!+(9/9)=7
Aleeee que simple jajajajaja
Perfecto, no esperaba menos de ti, ahora te falta el 5 ![]()
Bueno pues nada, a lo dicho, muchas gracias por todo el tiempo que dedicaste ayer.
Saludos
Pues pensé mucho, pero no caí en el factorial
La operación es
$$\begin{align}&(\sqrt 9) !+\frac 99=3!+1=6+1=7\\ &\\ &\text{por lo cual el 5 es}\\ &\\ &(\sqrt 9) !\frac 99=3!-1=6-1=5\end{align}$$Esto es mucho más simple que lo que pensé yo, ahora me quedo tranquilo porque pensaba que era imposible o muy complicado y era bien fácil.
- Compartir respuesta