¿Cómo se resuelven estas derivadas?

1 respuesta

Respuesta
1
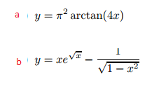
$$\begin{align}&y=\pi^2arctan(4x)\\ &\\ &y´=\pi^2·\frac{4}{1+(4x)^2}=\frac{4\pi^2}{1+16x^2}\\ &\\ &\\ &\\ &\\ &y =xe^{\sqrt x}- \frac{1}{\sqrt{1-x^2}}\\ &\\ &\\ &y´=e^{\sqrt x}+xe^{\sqrt x}\frac{1}{2 \sqrt x}-\frac{-1}{1-x^2}·\frac{-2x}{2 \sqrt {1-x^2}}=\\ &\\ &e^{\sqrt x}+\frac{\sqrt x ·e^{\sqrt x}}{2}-\frac{x}{\sqrt{(1-x^2)^3}}\end{align}$$

Y eso es todo, espero que te sirva y lo hayas entendido, si no es así pregunta lo que no entendiste.

Añade tu respuesta

Haz clic para o

Más respuestas relacionadas