Tomando el cuenta las axiomas de los números reales,desigualdades y funcione.
dado x ? La función x se define como el numero entero menor o igual a x resolver:
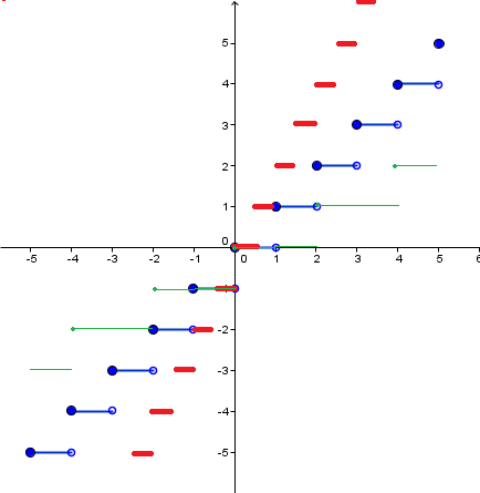
a) graficar la función f(x)=x en el intervalo [-5,-5]
b) graficar la función f(x)= 2x en el intervalo [-5,-5]
c) graficar la función f(x)= [x/2] en el intervalo [-5,-5]
espero me puedas ayudar.
1 respuesta
Respuesta de Valero Angel Serrano Mercadal
1
