Reparametrizacion de curvas en el espacio.

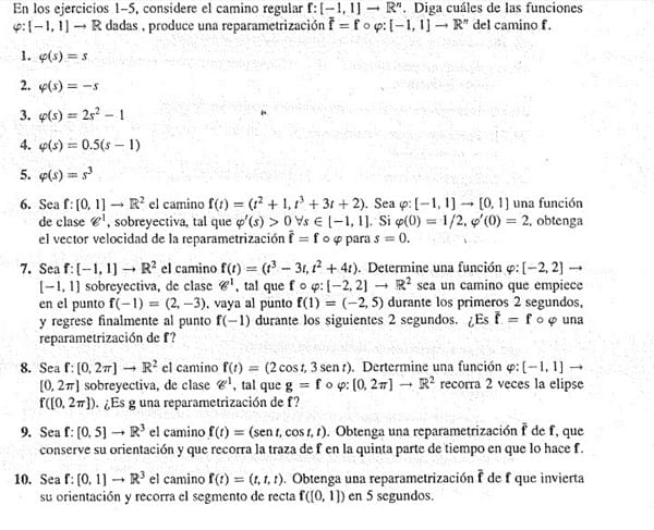
hola! He estado intentando resolver los siguientes ejercicios pero no me dan. Se trata de los numerales 3,6 y 7 y no he podido solucionarlos. ¿ me podrías ayudar un poco con esto? Te lo agradecería demasiado. El texto guía es calculo vectorial de claudio pita ruiz. Por si lo necesitas.aquí los pongo:

MUCHAS GRACIAS.

1 Respuesta

Respuesta
1

Dime la página del libro donde están los ejercicios, necesito ver la teoría. No es la parte de las matemáticas que mejor domino y veo algunas palabras que quizá las haya estudiado con un nombre distinto.

Ya he visto donde estaba. Sabía lo que era una reparametrización pero no me acordaba de las condiciones que se exigían.

3) Sea f: I de R ---> R^n un camino regular. Y sea phi: J de R ---> I una función sobreyectiva de clase C1 y con phi '(s) distinto de 0 para todo s € J. Entonces es camino

F* = f o phi: J de R ----> R^n se llama reparametrización del camino f (el cual también resulta ser regular.

f: [-1,1] ---> R^n

phi: [-1, 1] ----> R

phi(s) = 2s^2 - 1

Debemos comprobár si phi cumple las condiciones de la definición.

Lo primero es ver que

phi: [-1,1] ----> [-1, 1] es sobreyectiva

phi(s) = 2s^2 - 1

sea y €[-1,1] veamos si existe s tal que phi(s) = y

2s^2 -1 = y

2s^2 = y+1

s^2 = (y+1)/2

s = sqrt[(y+1)/2]

existe ese valor s ya que si y €[-1,1] entonces y+1 € [0,2] luego (y+1)/2 € [0,1] y finalmente s = sqrt[(y+1)/2] € [0,1]

Ahora veamos que phi(s) es de clase C1, la función 2s^2+1 es continua de toda la vida y la derivada es 4s que también es continua, luego phi es de clase C1

Y finalmente debería ser phi '(s) distinto de cero para todo s € [-1,1], pero esto no se cumple, ya que

phi '(s) = 4s

phi '(0) = 4·0 = 0

Luego phi no produce una reparametrización del camino f.

6) Aquí no se puede escribir la f con la barra encima, por eso usaré F como la reparametrización de f

F(s) = (f o phi)(s) = f[phi(s)]

Derivamos el miembro de la izquierda y el de la derecha. En el de la derecha aplicaremos la regla de la cadena

F '(s) = f '[phi(s)] · phi '(s)

F '(s) = (2·phi(s) , 3·[phi(s)]^2 +3])· phi '(s) =

F '(0) = (2·phi(0) , 3·[phi(0)]^2 + 3]) · phi '(0) =

(2 · 1/2 , 3(1/2)^2 + 3) · 2 =

(1, 3/4 + 3) ·2 =

(1, 15/4) · 2 =

(2, 15/2)

7) Este problema parece de bastante entidad.

Y eso es todo.

Añade tu respuesta

Haz clic para o

Más respuestas relacionadas