Lagrange
Hola, favor si me puede explicar como resuelvo esto.
Tengo lo siguiente,
1) u(Ct) = Ct - (a/2)Ct^2, a >0
2) debo llegar a que Ct = 1/T (A+sumatoria(E[Yi],i=1 hasta T))
3) A=riqueza inicial, Y1,Y2,....YT = ingresos
debo resolver usando lagrange
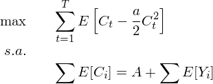
max sumatoria(E[Ct - (a/2)Ct^2],t=1 hasta T)), sujeto a
sumatoria(E[Ci]) = A + sumatoria(E[Yi])
Gracias
Tengo lo siguiente,
1) u(Ct) = Ct - (a/2)Ct^2, a >0
2) debo llegar a que Ct = 1/T (A+sumatoria(E[Yi],i=1 hasta T))
3) A=riqueza inicial, Y1,Y2,....YT = ingresos
debo resolver usando lagrange
max sumatoria(E[Ct - (a/2)Ct^2],t=1 hasta T)), sujeto a
sumatoria(E[Ci]) = A + sumatoria(E[Yi])
Gracias
Respuesta de Fran José García
-1

