Derivadas
Por favor ayudame con estos ejercicios
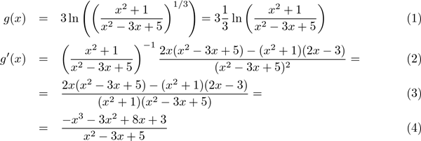
1. g(x)= 3In ? x^2+1 -------> es rais cubica de toda la fraccion
x^2 - 3x + 5
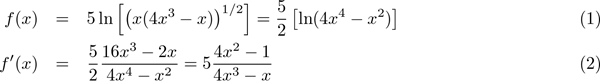
2. F(x) = -5 In ?x(4x^3-x)
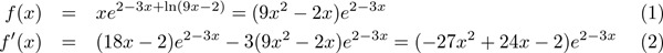
3. Xe^(2-3x+In(9x-2)) ----------> e segun la calculadora = 2.71
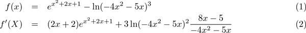
4. E^(x^2+2x+1)-In^3(-4x^2-5x)
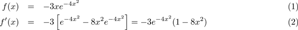
5.-3xe^(-4x^2)
1. g(x)= 3In ? x^2+1 -------> es rais cubica de toda la fraccion
x^2 - 3x + 5
2. F(x) = -5 In ?x(4x^3-x)
3. Xe^(2-3x+In(9x-2)) ----------> e segun la calculadora = 2.71
4. E^(x^2+2x+1)-In^3(-4x^2-5x)
5.-3xe^(-4x^2)
1 respuesta
Respuesta de Fran José García
1


