Yani Juarez

Yani Juarez

 México @yanijuarez desde - visto
Preguntar

Preguntas

Pregunta en y en 2 temas más

Utiliza la aplicación R y realiza lo siguiente

Estadística con R Utiliza la aplicación R y realiza lo siguiente La distribución de edades del Censo Nacional está indicado en tantos por cien es la siguiente: Representa con un histograma y calcula la edad mediana para las dos entidades
Sin respuestas
Pregunta en

Sean los ángulos ∢ABC, y ∢DEF y ∢GHI. Si ∢ABC ∥∢DEF y ∢GHI es paralelo a los otros dos ángulos

Geometría Sean los ángulos ∢ABC, ∢DEF y ∢GHI. Si ∢ABC ∥∢DEF y ∢GHI es paralelo a los otros dos ángulos, entonces hallar la medida del ángulo ∢DEF si m (∢GHI)=75
Sin respuestas
Pregunta en

Sea ABCD un cuadrilátero tal que BD está contenido en la bisectriz de los ángulos B y D

Geometría Sea ABCD un cuadrilátero tal que BD está contenido en la bisectriz de los ángulos B y D. Demostrar que ABCD es un romboide.
Pregunta en

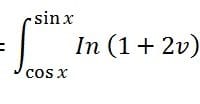
Obtenga la siguiente integral definida.

Calculo Integral Problema: Obtenga la siguiente integral definida
Pregunta en

En la figura se tiene que BX=TX=TE y que ∢C=∢CBX

Geometría En la figura se tiene que BX=TX=TE y que ∢C=∢CBX, probar que AC=TE
Sin respuestas
Pregunta en

Resuelve el siguiente problema: En la figura, los triángulos ABD y QBC son congruentes

Geometría En la figura, los triángulos ABD y QBC son congruentes, encuentra la medida del ángulo BAC:
Pregunta en

Considera la siguiente dirección IP

Matemáticas discretas Considera la siguiente dirección IP, encuentra los octetos asociados a cada decimal 127.12.110.79
Sin respuestas
Pregunta en

Problema de matemáticas discretas. Indica cuál de las siguientes IP

Matemáticas Discretas Indica cuál de las siguientes IP son incorrectas y ¿Por qué? 127.39.18.0379.120.151.93120.0.0.275
Pregunta en

Problema: en el triángulo (AB)≅(CB), (AC)≅(AD) y (AD)≅(DB)

Geometría Resuelve el siguiente problema: En el triángulo (AB)≅(CB), (AC)≅(AD) y (AD)≅(DB). Determina la medida del ángulo x.
Pregunta en

Determine la derivada de la siguiente función

Calculo Integral Determine la derivada de la siguiente función