Pregunta en
Matemáticas
y en 2 temas más
Ejercicios de Oferta y demanda, cómo resolverlos.
Gráfica las siguientes cuestiones de oferta y demanda, indica si hay movimiento o desplazamiento Aumenta el precio de los lentes de armazónDisminuye el precio del líquido limpiador de lentes de contactoInnovación tecnológica en la producción del bien...
Sin respuestas
Pregunta en
Matemáticas
y en 1 temas más
Cambio en la cantidad demandada
Pregunta en
Matemáticas
y en 1 temas más
Tengo problemas para resolver esto, grafique la ecuación x + 2y = 7 X=0 Y= 0
Pregunta en
Matemáticas
y en 1 temas más
Tengo dudas para realizar ejercicios sobre polinomios y monomios
Una empresa se dedica a fabricar mesas y sillas para comedor. Considera que x representa los costos, si x2 + 65x – 3,500 son las mesas y 7x² - 35x + 5,000 son las sillas, ¿Cuál es el costo total de producción de esta empresa?
Pregunta en
Matemáticas
y en 1 temas más
Tengo problemas para resolver estos ejercicios
Pregunta en
Matemáticas
y en 1 temas más
Tengo dudas para resolver los monomios y polinomios
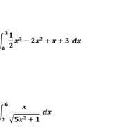
Pregunta en
Matemáticas
y en 1 temas más
No puedo resolver estos problemas, integrales y por sustuticion
Pregunta en
Matemáticas
y en 1 temas más
