Pregunta en
Matemáticas
Estadística Bidimensional: ¿Cuál será la nota esperada?

Sin respuestas
Pregunta en
Matemáticas
Cómo ha calculado el límite de esta función
Pregunta en
Matemáticas
¿Qué son el vector director y el vector normal? ¿En qué se diferencian? ¿Para qué sirven?
Otra pregunta de geometría analítica. En clase he estado trabajando con ambos, pero realmente no sé en qué se diferencian, cuándo usar uno o el otro...
Sin respuestas
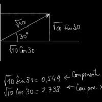
Pregunta en
Matemáticas
Determina un vector cuyo módulo valga √(10) unidades lineales y que forme un ángulo de 30º con la horizontal
Pregunta en
Universidades
y en 1 temas más
Si quiero hacer dos carreras, ¿La nota de corte me sirve?
Sé que la nota de la fase general se mantiene, pero la de la fase específica sólo hasta dos años después. Si hago una carrera (4 años) y luego quiero hacer otra, ¿Tendría qué volver a presentarme o no haría falta?
Pregunta en
Bachilleratos
y en 3 temas más
Reválida LOMCE, ¿De qué asignaturas me examinaré?
Pretendo cursar el Bachillerato de Ciencias, y quisiera saber de qué asignaturas me examinaré en la Reválida de la LOMCE, tanto troncales como específicas, siendo de mi itinerario.