Valero Angel Serrano Mercadal

Valero Angel Serrano Mercadal

Me voy x tiempo. Necesito hacer otras cosas, descansar y que cambien algunas cosas.
 5.867K puntos  Aragón, España @valeroasm desde - visto

Respuestas en Matemáticas

Respuesta en a

Tengo duda sobre los exponentes y radicales

· · ¡Hola Fernanda! Sería muy interesante que aprendieras a utilizar el símbolo ^ para introducir el exponente, y por supuesto usar adecuadamente los paréntesis. Yo creo que quieres decir esto: 6^4 6^(-4) -6^4 (-6)^4 3^6 3^{-6) (Aunque lo pusiste...
Respuesta en y en 3 temas más a

Como derivadas evaluación máximos y mínimos

· ¡Hola Angy! La distancia vertical entre dos funciones es la diferencia de las funciones, la superior menos la inferior. Si las funciones se cruzaran habría que emplear el valor absoluto de la diferencia y sería un poco más complicado, pero por lo...
Respuesta en a

Desarrolla la solución, si es necesario, de las siguientes funciones limites

· · ¡Hola Jhon! No puedes poner esos enlaces ya que no podemos verlos, nos piden nombre de usuario y contraseña. No obstante me suena el enunciado y creo que aquí tienes las respuestas: Cálculo de los límites y la otra gráfica de las funciones Como...
Respuesta en y en 1 temas más a

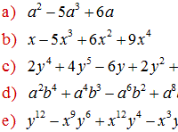
Multiplica cada uno de los siguientes polinomios poe un número de tal forma que surjan polinomios mónicos

· · ¡Hola Miriam! Un polinomio mónico es aquel que tiene coeficiente 1 en el término de mayor grado. Y eso es todo, sa lu dos. : :
Respuesta en a

Tarea de matemáticas ordenar los siguientes polinomios

· · ¡Hola Juan David! Para los polinomios en una sola variable me gusta el orden decreciente en los exponentes. Cuando haya variables estas se ordenan alfabéticamente en cada término y los términos se ordenan en orden decreciente respecto a la...
Respuesta en a

Demostrar si el conjunto X y la colección de subconjuntos T, es un espacio Topologíco.

· · ¡Hola Luis! Veamos si cumple las tres condiciones: 1) El vació pertenece a T porque es numerable, y X pertenece a T por definición. 2) La unión de conjuntos de T pertenece a T. Si X pertenece a la unión la unión es X que pertenece a T. Si X no...
Respuesta en a

Escriba en forma matricial la forma cuadrática

· · ¡Hola Yolanda! Tendrás que mandar una foto con más resolución o escribirlo a mano. Hay subíndices que no se pueden ver. Saludos. : :
Respuesta en a

1. Resuelve el siguiente problema. Desarrolla el procedimiento e incorpora la soluciónPlanteamiento del problema:En una

___ ---- ¡Hola Jorge López! a) El ingreso es la cantidad de pares vendidos por el precio de cada par. La cantidad de pares vendidos es x. El precio de cada para es P(x) = 150 - 3x Luego el ingreso será: Puedes darte cuenta que hay partes que se...
Respuesta en y en 1 temas más a

Cual sera la distancia entre un punto y una línea

· · ¡Hola Víctor! Ya te he metido todo el rollo teórico en la otra pregunta, así que aquí solo digo los pasos. Calculamos dos puntos A y B de la recta Calculamos los vectores SA y SB Calculamos el producto vectorial SA x SB Y la distancia es el...
Respuesta en y en 1 temas más a

Calcular la distancia entre un punto y una línea

· · ¡Hola Víctor! La distancia punto recta en el espacio tiene una forma bastante curiosa de hacerse que es tomar dos puntos de la recta, calcular los vectores hasta el punto y hacer el producto vectorial. Entonces 1/2 del módulo de ese producto...