Valero Angel Serrano Mercadal

Valero Angel Serrano Mercadal

Me voy x tiempo. Necesito hacer otras cosas, descansar y que cambien algunas cosas.
 5.867K puntos  Aragón, España @valeroasm desde - visto

Respuestas en Estadística y Probabilidad

Respuesta en y en 1 temas más a

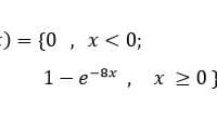
La función de densidad de las mediciones codificadas...

· · ¡Hola Lecarpio! Una vez tenemos la función la función de distribución, la probabilidad se calcula así: P(a<= X <= b) = F(b) - F(a) P(0 <= X <= 12) = F(12) - F(0) = Ojo, la función de distribución mide el tiempo en horas, luego 12m = 12/60 h = 1/5...
Respuesta en y en 3 temas más a

¿Cómo aplico el teorema de Chebyshev?

· · ¡Hola Berta! El teorema de Chebyshev dice: Y respecto a la última pregunta no sé que quieren decir, se pueden decir tantas cosas, que pregunten algo más concreto. Podemos decir que el (100%-88.88%)/2= 5.56% de las rebanadas tendrán menos tiamina...
Respuesta en y en 2 temas más a

En probabilidad me piden que resuelva el siguiente ejercicio de variable aleatoria

· · ¡Hola Lecarpio! Cuando te dan la función de densidad la función de distribución se calcula así: : :
Respuesta en y en 1 temas más a

Identificar punto de equilibrio de estas dos ecuaciones , como igualarlas y como aplico la resolvente

· · ¡Hola Sebastián! Tienes que hallar la solución del sistema de ecuaciones, nadie te pide que lo hagas por igualación si hay otro método más adecuado. a) Y eso es todo, espero que te sirva y lo hayas entendido. Si no es así, pregúntame. Y si yas...

Probabilidad estudio de caso 3 de la compañía de aviación Delta Airlines.

· · ¡Hola Adriana! 1) Si cumple los supuestos de la distribución de Poisson. Yo no se como los tendréis definidos pero son sucesos puntuales que se dan en el tiempo o en el espacio continuos; son sucesos independientes, la probabilidad de que suceda...

Estudio de caso 2 probabilidad solución al caso ¿Usted invertiría dinero al baloto o no?

· ¡Hola Adriana! Contesté hace unos días esta pregunta, te doy los enlaces porque me la mandaron en varias, es lo que debería hacerse con preguntas largas. No olvides valorar aquí la pregunta. Taller de eprobabilidad caso 2 desarrollo juego baloto ·...
Respuesta en y en 2 temas más a

Intervalo de confianza ¿Cuanto vale el percentil 2,5 y el percentil 97,5?

· · ¡Hola Anónimo! El percentil 2.5 es el valor que deja por debajo de el una probabilidad de 2.5%, es decir 0.025 en número real y el percentil 97.5 es el que deja por debajo una probabilidad de 97.5% = 0.975 Me parece que no has puesto el enunciado...
Respuesta en y en 1 temas más a

¿Probabilidad de que no hay ningún par completo?

· · ¡Hola Gary! a) Los casos posibles son combinaciones de 20 tomadas de 8 en 8 Los favorables se calculan así, primero calculamos de cuales pares ha elegido los zapatos, eso son combinaciones de 10 tomadas de 8 en 8. Y de cada par ha podido elegir...
Respuesta en y en 4 temas más a

Muy buenas, se me presentan estos dos problemas de calculo, les pido colaboracion

· · ¡Hola Joan! En el primer ejercicio dices la parábola y = 8x, pero eso no es una parábola, revisa el enunciado. ¡Jope, el 2 es el complicado de verdad! Repásalo todo porque lo he hecho con prisas que tengo que irme. Saludos. : :
Respuesta en y en 4 temas más a

A quien le doy la beca a Mary o a Pedro

· · ¡Hola Anónimo! De lo que deduzco por los datos que das Pedro obtuvo 1600 puntos en una prueba cuya puntuación máxima es 1600, eso es un pleno, mejor imposible. Mientras que Mary obtuvo 26 en una prueba donde el máximo es 36, esa es una nota peor....