La función de densidad de las mediciones codificadas...
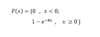
1) El tiempo que pasa, en horas, para que un radar detecte entre conductores sucesivos a los que exceden los límites de velocidad es una variable aleatoria continua con una función de distribución acumulativa:

Calcule la probabilidad de que el tiempo que pase para que el radar detecte entre conductores sucesivos a los que exceden los límites de velocidad sea menor de 12 minutos.
* Usando la función de densidad de probabilidad de x.
2)La función de densidad de las mediciones codificadas del diámetro de paso de los hilos de un encaje es:
$$\begin{align}&f(x)= 4 / [3,1416 (1+x^2)] \end{align}$$
* Calcular el valor esperado de x.
Me pueden explicar
Respuesta de Valero Angel Serrano Mercadal
1