Valero Angel Serrano Mercadal

Valero Angel Serrano Mercadal

Me voy x tiempo. Necesito hacer otras cosas, descansar y que cambien algunas cosas.
 5.867K puntos  Aragón, España @valeroasm desde - visto

Respuestas en Estadística y Probabilidad

Respuesta en y en 1 temas más a

Variable continua y discreta, definiciones de estas

· · ¡Hola Daniela! La a es un número, por ejemplo P(X=7), P(X<7.23) I) Es verdadera, si la variable es continua la probabilidad de que la variable tome un valor concreto es 0. Ya sabemos que esto no sucede en la práctica, pero en el comportamiento...
Respuesta en y en 1 temas más a

Resolver el siguiente ejercicio de estadística descriptiva unidad 2

· · ¡Hola Antonio! Asociaremos el concepto de probabilidad con el del área de los conjuntos. Estos son los diagramas En el de arriba si sumamos el área de A y B habremos sumado dos veces el area de la intersección, pero solo se debe sumar una vez por...
Respuesta en y en 1 temas más a

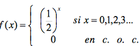
Se tienen las siguientes funciones, probabilidad

· · ¡Hola Daniela! 3) Se trata de una variable aleatoria continua entre 0 y 2. Y aunque el que ha hecho el ejercicio quiere que digas que es una función de densidad, ya que la integral es 1, no lo es. No lo es porque una función de densidad es...
Respuesta en y en 1 temas más a

Probabilidad funciones variables aleatorias y discretas

· · ¡Hola Daniela! 1) Comprobaré que tienes bien hecho el cálculo Pues no me da los 39/2 ¿Cómo lo calculaste? Asegurate también si no se te olvidó poner el 3, ya que este no aparece.
Respuesta en y en 2 temas más a

Se tiene la siguiente función, variables aleatorias, discretas y continuas

· · ¡Hola Daniela! Será una función de probabilidad cuando la suma de las probabilidades de todos los valores de la variable aleatoria sea 1 Pues creo que se han equivocado, no suma 1 sino 2 Luego no habría que contestar los apartados siguientes,...
Respuesta en y en 1 temas más a

70% de los autos que circulan cuentan con seguro.¿Cuál es la probabilidad de que al seleccionar 5 al azar tengan seguro?

· · ¡Hola Daniela! Debe tener seguro el primero, eso es 0.7 Y luego de las veces que tiene seguro el primero de tener seguro el segundo eso es 0.7·0.7 = 0.49 Y luego de esas 0.49 veces que tienen seguro los dos primeros debe tenerlo el tercero...
Respuesta en y en 1 temas más a

Resolver el siguiente ejercicio unidad 2 Act 1 De estadística

. : ¡Hola Antonio! “Como máximo tendré que esperar al segundo autobús” FALSO, puede venir el malo dos veces seguidas.“Hay una probabilidad de un medio (0.5) de que el primer autobús sea de la ruta que no meconviene” FALSO, laprobabilidad es...
Respuesta en y en 1 temas más a

Resolver actividad 3 unidad 2 de estadística

· · ¡Hola Antonio! Eso he hecho, hacer el diagrama para un par de casos. P(A)=0.3, P(Bc)=0.4 y P(AUB)=0.7 a) P(B) = 1-P(Bc) = 1-0.4 = 0.6b) P(Ac) = 1-P(A) = 1-0.3 = 0.7c) P(A – B) = P(A)-P(A∩B) = (Se calcula primero el apartado 4) = 0.3-0.2 = 0.1d)...
Respuesta en y en 1 temas más a

Resolver la siguiente actividad de estadística Unidad 1 Act 5

· : ¡Hola Antonio! Estas son las gráficas que he decidido hacer En la primera gráfica se ve claramente el balance cada cinco años. En la segunda se ve la evolución de cada periodo de esos de 5 años, se ve clarámente si los meses con un determinado...
Respuesta en y en 1 temas más a

Hallar la solución actividad 8 unidad 1 de estadística

· : ¡Hola Antonio! Esta es la gráfica hecha en Excel 1) Es falso, en el periodo 1 hay menos boletas con sangre del tipo O que en el periodo 2, son 22,06% contra 24,07% · 2) Así debería ser, que la suma fuera 100%, pero ene l periodo 2 ya sea por...