Ney JR

Ney JR

nunca te acostaras sin saber algo mas y nunca mires hacia atras
 Colombia @tedbundy desde - visto
Preguntar

Preguntas

Pregunta en

Es de Fisica despeje la igualdad I = I'

Siempre pondre como exelente Gracias por su atencion Att: NeyJR
Pregunta en

Por qué se deben conservar los documentos en papel si pueden digitalizarse

Gracias por sus respuestas siempre calificare como exelente Att: NeyJR
Sin respuestas
Pregunta en

Halla el dominio y rango a las siguientes funciones

A. Y = 2x b. Y = 3x c. Y = -2x d. Y = (1/2)x e. Y = -ex
Pregunta en

Es de matematicas siempre seleccionare como mejor respuesta

Esta función exponencial tiene como base el número irracional e que es igual a 2,71828, este número se encuentra entre los números enteros 2 y 3, Encuentra su gráfica.
Pregunta en

Qué sucederá a la gráfica de F(x) = cos (x-c) si c= ¶/2

Calificare como exelente siempre Gracias por sus respuestas Att: NeyJR
Pregunta en

Analiza dominio, rango y gráfica de las siguientes funciones:

Le agradezco sus respuesta las calificare como exelente siempre
Pregunta en

A la función y = (x) = encuentra su dominio, su rango, sus intersectos, sus simetría y su gráfica.

Gracias por su ayuda señor valero le dare como mejor respuesta Att: NeyjR
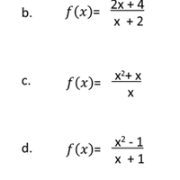
Pregunta en

Como se resuelve este ejercicio

Eres el secretario auxiliar de archivo de NOVEDADES LUV, una venta miscelánea y te han encargado cotizar los muebles, enseres y útiles de archivo para guardar la documentación de 500 personas. Todo se va a ubicar en un local de 5 x 6 metros...