Pregunta en
Matemáticas
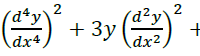
Un operador anulador para la función f(x)=
Seleccione A si la afirmación y la razón son VERDADERAS y la razón es una explicación CORRECTA de la afirmación. Seleccione B si la afirmación y la razón son VERDADERAS, pero la razón NO es una explicación CORRECTA de la afirmación. Seleccione C si...
Sin respuestas
Pregunta en
Matemáticas
Una ecuación lineal de orden n es de la forma
Se debe seleccionar la combinación de dos opciones que responda adecuadamente a la pregunta y marcarla en la hoja de respuesta, de acuerdo con la siguiente información: Seleccione A si 1 y 2 son correctas. Seleccione B si 1 y 3 son correctas....
Sin respuestas
Pregunta en
Matemáticas
Con base en el siguiente texto :
Pregunta en
Matemáticas
Ejercicios de Ecuaciones de Primer orden:
Pregunta en
Matemáticas
Resolver la situación planteada, identificando las fórmulas a usar y realizando el procedimiento paso a paso del siguiente caso:
Se sabe que la población de cierta comunidad aumenta, en un instante cualquiera, con una rapidez proporcional al número de personas presentes en dicho instante. Si la población se duplica en 5 años, ¿Cuánto demorará en triplicarse?, ¿Cuánto demorará...
Pregunta en
Matemáticas
Identificar las características del problema que se ha planteado y buscar el método de solución más apropiado según las ecuacion
Conductividad del material. Bajo ciertas condiciones la cantidad constante Q calorías/segundo de calor que pasa a través de una pared está dada por. Donde k es la conductividad del material,?(??2) es la superficie de una cara de la pared...
Sin respuestas
Pregunta en
Matemáticas
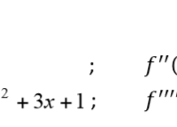
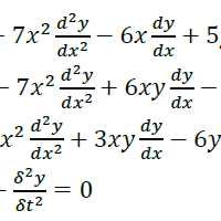
Cual de las siguientes opciones corresponde a una Ecuación diferencial ordinal de tercer orden lineal:
Pregunta en
Matemáticas
