Luk Dary Abril

Luk Dary Abril

 Colombia @lukdarya desde - visto
Preguntar

Preguntas

Pregunta en y en 2 temas más

Obtener una raíz de la función, métodos numéricos

Obtener la raíz de la función ?(?) = ?? − ?. ?, en el intervalo [-1, 1] por el Método de Newton- Raphson, tomando como valor inicial xo= -1, con una exactitud de 10-5.
Pregunta en y en 2 temas más

Autómatas y lenguajes formales, lenguajes y expresiones regulares

Agradezco la ayuda en estos ejercicios de atonomas y lenguajes formales
Sin respuestas
Pregunta en y en 3 temas más

Instalar una red en el municipio

Usted ha sido contratado para diseñar, planificar e instalar una solución de red en un municipio apartado de nuestra geografia nacional, donde se tienen las siguientes características: • La ubicación del municipio es sobre una isla en el mar. • El...
Sin respuestas
Pregunta en y en 2 temas más

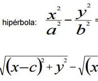
Demostrar la ecuación que representa una hipérbola

Agradezco la ayuda en este ejercicio de Álgebra trigonometría y geometría analítica. El tutor me corrigió y no se que debo hacer ahí
Sin respuestas
Pregunta en y en 2 temas más

Determinar por el criterio delcociente el conjunto deconvergencia de :

Agradezco la ayuda en este ejercicio de ecuaciones diferenciales
Pregunta en y en 2 temas más

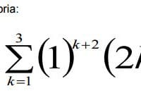
Calcular la siguiente sumatoria de álgebra trigonometría y geometría analítica

Agradezco su ayuda en este ejercicio de álgebra trigonometría y geometría analítica
Pregunta en y en 2 temas más

Temática: ecuacionesdiferenciales y solución porseries de potencias

Agradezco su ayuda en este ejercicio de ecuaciones diferenciales
Pregunta en y en 2 temas más

Calcular la sumatoria curso de álgebra

Agradezco la ayuda en este ejercicio de sumatoria de geometri
Pregunta en

Creatividad en la proposición de situaciones de la vida cotidiana

El ejercicio es de lógica matemática.
Pregunta en y en 2 temas más

Deducir la ecuación de la hipérbola