Pregunta en
Matemáticas
y en 1 temas más
¿La resolución de integrales indefinidas originan?
Pregunta en
Matemáticas
y en 1 temas más
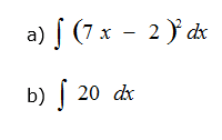
¿Cuál es la respuesta correcta de los siguientes ejercicios de Calculo?
Pregunta en
Matemáticas
y en 1 temas más
¿Cuál es la solución de la integrada indefinida?
Pregunta en
Matemáticas
y en 1 temas más
¿Cuál es la respuesta correcta de los ejercicios de calculo Integral? Según los enunciados
Pregunta en
Cálculo
y en 1 temas más
¿Me podrían decir cual es la respuesta correcta de este ejercicio de Calculo Integral?
Pregunta en
Cálculo
y en 1 temas más
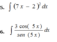
Cual es el procedimiento y resultado de los ejercicios de Calculo Integral?
Pregunta en
Cálculo
y en 1 temas más
Como pudo resolver los siguientes integrales?
Pregunta en
Matemáticas
y en 1 temas más
¿Cómo resuelvo los siguientes ejercicios del Cálculos integral?
Cada ejercicio se debe resolver paso por paso, sin omitir ninguno, cuando se utilice una propiedad, definición o ley por favor enunciarla. Encontrar la familia de antiderivadas de la función dada:
Pregunta en
Matemáticas
y en 1 temas más
Como resuelvo los ejercicios de integrales indefinidas?
Pregunta en
Matemáticas
y en 2 temas más
