Pregunta en
Matemáticas
y en 1 temas más
Saben como derivar esta función
Necesito comparar con el desarrollo que tengo
Pregunta en
Matemáticas
y en 1 temas más
Las reglas de la derivación
Pregunta en
Matemáticas
y en 2 temas más
Como Calcular las siguientes derivadas
Pregunta en
Matemáticas
y en 2 temas más
Aplicando las reglas de la derivación calcular las siguientes derivadas
Pregunta en
Matemáticas
y en 2 temas más
Quién puede explicar el limite O tiende 0 de 0/Sen O
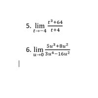
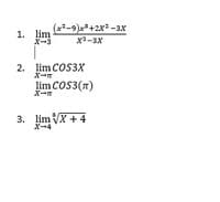
Pregunta en
Matemáticas
y en 2 temas más
Ejercicios calculo diferencial limites, como resolver estos ejercicios
Pregunta en
Matemáticas
y en 1 temas más
