Respuesta
en
Matemáticas
y en 1 temas más
a
El triple de la suma entre el cuadrado de un número y el opuesto de cinco es igual a treinta y tres
3*(x^2-5)=33 x^2-5 =11 x^2 = 16 x= 4 Lee la frase cuidadosamente y diseccionándola por partes : El triple de (...) la suma de (...) y (...) El cuadrado de un número ( llamemos por al número ) --> x^2 el opuesto de 5 --> -5 la suma de (x^2) y (-5 )...
Respuesta
en
Matemáticas
y en 2 temas más
a
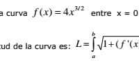
Como resuelvo este ejercicio de Áreas Calculo
Respuesta
en
Profesores
y en 2 temas más
a
Necesito profesor de calculo, que me colabore con esto! Mínimos y máximos de una función
No has puesto la función
Respuesta
en
Matemáticas
y en 1 temas más
a
Velocidad a partir de una ecuación de una recta
La velocidad es la derivada de la posición, por tanto : Sabemos también que el el desplazamiento de este movimiento es de 39 metros , con este dato despejamos el tiempo de la ecuación original, es una ecuación de segundo grado: El dato del tiempo...
Respuesta
en
Matemáticas
y en 4 temas más
a
Quien puede demostrar que S genera a R2
Respuesta
en
Matemáticas
y en 3 temas más
a
Calcula las siguiente derivada de orden superior.
Respuesta
en
Cálculo
a
Existe la solución al siguiente ejercicio
Resolví este ejercicio aquí : Por medio de las integrales podemos hallar volúmenes de sólidos de revolución, momentos o centros de masa.
Respuesta
en
Matemáticas
y en 4 temas más
a
Desarrollo de problema calculo integral ..matematicas
Respuesta
en
Cálculo
a
¿Cómo calculo la derivada de f(x)= 6x^3-3x^2-x+3 en el punto a=3
Calculamos la derivada: Esto se hace utilizando la regla para derivar potencias: Después particularizamos para el punto (me imagino que querías decir x=3,ya que no hay ninguna "a" )
Respuesta
en
Matemáticas
y en 1 temas más
a
Segunda derivada de la función
Asumiendo que la función es la siguiente : Entonces: Que no es ninguna de las respuestas planteadas, así que me gustaría que aclarases si el enunciado es realmente así ... Si tienes alguna duda de como he derivado pregunta:)
