Preguntas esperando respuesta
Actividad pública reciente
                    Ha preguntado en el tema   en 
    Matemáticas
            
                y en 1  temas más
            
                
                
            Tengo duda, Solucione los siguientes ejercicios:
 Solucione los siguientes ejercicios utilizando la Integración de Romberg. Usando segmentos de longitud 1, 1/2 y 1/4.
                
            Solucione los siguientes ejercicios utilizando la Integración de Romberg. Usando segmentos de longitud 1, 1/2 y 1/4.
        
        
                Sin respuestas
    
            
        
                    Ha preguntado en el tema   en 
    Cálculo
                
                
            Por medio de las integrales podemos hallar volúmenes de sólidos de revolución utilizando diferentes técnicas, momentos y centros
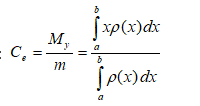
 Una varilla de 18 cm de longitud tiene una densidad lineal, medida en g/cm, dada por (ver imagen 1) . Halle su centro de masa (Ce). Considere el centro de masa:
                
            Una varilla de 18 cm de longitud tiene una densidad lineal, medida en g/cm, dada por (ver imagen 1) . Halle su centro de masa (Ce). Considere el centro de masa:
        
        
                Sin respuestas
    
            
        
                    Ha preguntado en el tema   en 
    Matemáticas
                
                
            Existen numerosas aplicaciones del cálculo integral a las ciencias como en la física (trabajo y movimiento), en la hidráulica (b
 Las funciones de la demanda y de la oferta de cierto producto están dadas por Y hallar: El punto de equilibrio El excedente del consumidor E. C en el punto de equilibrio El excedente del productor E. P en el punto de equilibrio
                
            Las funciones de la demanda y de la oferta de cierto producto están dadas por Y hallar: El punto de equilibrio El excedente del consumidor E. C en el punto de equilibrio El excedente del productor E. P en el punto de equilibrio
        
        
                Sin respuestas
    
            
        
                    Ha preguntado en el tema   en 
    Matemáticas
            
                y en 2  temas más
            
                
                
            Determine el Polinomio de Interpolación
 1- Determine el Polinomio de Interpolación Usando la Interpolación de Diferencias Divididas de Newton, e interpole en el punto x = 4 2- Para la siguiente tabla obtenga el Polinomio de Interpolación de diferencias finitas de Newton e Interpole en el...
                
            1- Determine el Polinomio de Interpolación Usando la Interpolación de Diferencias Divididas de Newton, e interpole en el punto x = 4 2- Para la siguiente tabla obtenga el Polinomio de Interpolación de diferencias finitas de Newton e Interpole en el...
        
        
                Sin respuestas
    
            
        
                    Ha preguntado en el tema   en 
    Matemáticas
            
                y en 1  temas más
            
                
                
            Resuelve las siguientes integrales paso por paso sin omitir ninguno, enunciando claramente la técnica o propiedad usada.
 Existen otros métodos para resolver integrales como integración por partes, integración por fracciones parciales, también métodos para resolver integrales de funciones exponenciales, logarítmicas, trigonométricas e hiperbólicas. Resuelve las...
                
            Existen otros métodos para resolver integrales como integración por partes, integración por fracciones parciales, también métodos para resolver integrales de funciones exponenciales, logarítmicas, trigonométricas e hiperbólicas. Resuelve las...
        
        
                Sin respuestas
    
            
        

Resuelva paso por paso las siguiente integral