Pregunta en
Matemáticas
y en 2 temas más
Dados los vectores u=8i+4j- 3k yv=2i+7j-3k determine el resultado al operar:
Pregunta en
Matemáticas
y en 2 temas más
Encuentre un vector v que tenga la magnitud y dirección dadas:
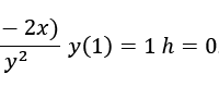
Pregunta en
Cálculo
y en 3 temas más
Inicialmente un cultivo tiene un número ? De bacterias. En ?=1 ℎ se determina que el número de bacterias es 4/3 ?.
Pregunta en
Cálculo
y en 3 temas más
Utilizar el Método de Runge-Kutta para aproximar
Pregunta en
Matemáticas
y en 2 temas más
Hallar la solución aproximada que proporciona el Método de Adams – Bashforth de segundo, tercer y cuarto orden para la ecuación
Pregunta en
Matemáticas
y en 2 temas más
Usar el Método de Euler mejorado para aproximar y(2,3) tomando h = 0.1 dada la ecuación diferencial
___________________________________________________________________---------------------------------------------------------------------______________________
Sin respuestas
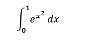
Pregunta en
Cálculo
y en 2 temas más
Solucione el siguiente ejercicio utilizando la Regla del Trapecio, la Regla de Simpson 1/3 y la Regla de Simpson 3/8.
Pregunta en
Matemáticas
y en 2 temas más
El volumen del solido de revolución generado cuando la región limitada por las gráficas de las ecuaciones y=x^2 y y=4 ,
Pregunta en
Matemáticas
y en 2 temas más
Hallar la solución aproximada que proporciona el Método de Adams – Bashforth de segundo, tercer y cuarto orden para la ecuación.
Pregunta en
Matemáticas
y en 2 temas más
Solucione el siguiente ejercicio utilizando la Integración de Romberg. Usando segmentos de longitud 1, 1/2 y 1/4.
_____________________________________________________________________----------------------------------------------------------------------------------------------------------------------------__________________---
Sin respuestas
