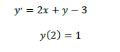
Usar el Método de Euler mejorado para aproximar y(2,3) tomando h = 0.1 dada la ecuación diferencial

___________________________________________________________________---------------------------------------------------------------------______________________