Bladimir Zapata Arango

Bladimir Zapata Arango

 Colombia @juanc1990 desde - visto

Preguntas

Pregunta en

Teorema de stokes y trabajo de una campo

Me piden en el siguiente ejercicio que verifique: 1) El teorema de stokes para el campo de fuerzas dado y la frontera dada 2) El trabajo realizado por el mismo campo. Cuya respuesta es 16 Como se parametriza para que quede en sentido antiohorario y...
Pregunta en

Calculo de flujo

Valeroasm que es flujo de una función F través de otra función G. Y para que me expliques eso a través del literal c del siguiente ejercicio. La verdad no casi no he resuelto ejercicios del tema.
Pregunta en

Calculo de la masa

Valeroasm cordial saludo. Tengo este ejercicio donde me piden calcular la masa de una sección intersectada por dos superficies ( eso es lo que entiendo) y bueno lo de siempre el dibujo no me cuadra ( mala imaginación espacial) y ni decir de la...
Pregunta en

Momento de inercia lamina rectagular

Valeroasm como estas. Necesito que en este ejercicio me expliques varios conceptos que es momento de inercia, centro de masa y densidad, cuando se que hay densidad constante u homogénea o densidad variable. Como se hallan los limites de integración y...
Pregunta en y en 1 temas más

Volumen de un solido en integrales multiples

Tengo problemas con este ejercicio, no se como empezar, estoy perdido, me puedes ayudar desde cero y paso a paso por favor pues me van a evaluar este tema y no estoy fuerte en el tema, nuevamente te pido que me ayudes en los gráficos, como se hacen,...
Pregunta en

Calculo de la masa de una solido tridimensional.

Cordial saludo valeroasm. En el siguiente ejercicio me piden hallar la masa del solido delimitado por las superficies cilíndricas que allí mencionan.empezando porque no se hacer el dibujo y ya te podrás imaginar el resto. Necesito que me ayudes a...
Pregunta en y en 1 temas más

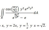
Evaluación de una integral doble

Saludos valeroasm. Tengo el siguiente ejercicio sobre integrales dobles pero no se como se resuelve, me parece muy complejo y no se como dibujar la región de integración. Creo que hay que hacer cambio de variables y hallar el jacobiano pero no se...
Pregunta en

Multiplicadores de lagrange

Hola valeroasm tengo el siguiente problema de aplicación sobre máximos y mínimos de funciones de varias variables pero quiero que me ayudes a resolverlo por los multiplicadores de lagrange. Muchas gracias.
Pregunta en

Ecuaciones paramétricas de la recta tangente

Tengo el siguiente ejercicio, solo he intentado hallar las ecuaciones paramétricas pero no he podido, ¿Podrías ayudarme?
Pregunta en

Ecuación del plano tangente.

Hola valeroasm. Tengo este ejercicio sobre planos tangentes podrías ayudarme a resolverlo? Muchas gracias.

Suscríbete RSS