josito82

josito82

 Aragón, España @josito82 desde - visto
Preguntar

Preguntas

Pregunta en

¿Cómo puedo saber el numero máximo de redes y equipos de una IP?

Tengo el siguiente ejercicio: Tenemos la siguiente red de partida 172.16.32.0/19 ¿Cuántos equipos podremos direccionar? ¿Cuántas redes distintas podríamos tener? No se si hay alguna fórmula sencillas. Estoy haciendo una fp a distancia pero los...
Sin respuestas
Pregunta en

Problema: Un móvil sigue una trayectoria...

Un móvil sigue una trayectoria dada por la función es = -4.9t2 + 58.8t, donde es es la altura en metros desde el suelo y t es el tiempo transcurrido en segundos desde que comienza el movimiento a) Calcula la altura del móvil al cabo de 3 segundos. B)...
Pregunta en

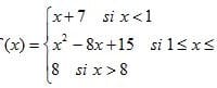
Buenas, necesito saber los pasos a seguir en este ejercicio de funciones.

Sea la función definida a trozos: a) Represéntala gráficamente.b) Determina su valor en por =0), los extremos relativos) y los intervalos de crecimiento y decrecimiento
Pregunta en

Dados los puntos siguientes calcular:

Dados los puntos A(-1,3), B(5,-2) y C(-3,0) calcular: a) La recta que pasa por los puntos B y Cb) la recta paralela a la anterior que pasa por el punto A.
Pregunta en

Atascado en este problema sobre rectas paralela y perpendicular..

A ver si alguien me saca de mi ignorancia... :-( Calcular las rectas paralela y perpendicular a la recta por - y = 5 por el origen de coordenadas.
Pregunta en

Atascado en este problema de rectas.

Calcular la intersección entre las rectas y = x -3 y la recta paralela a la recta 2x-3y + 5 = 0 por el punto (-2, 4).
Pregunta en y en 1 temas más

No se como seguir en este problema de matemáticas

A ver si alguien me puede echar una mano, gracias. Una escultura está colocada sobre un pedestal de 1,5 m de altura. Desde un punto del suelo se ve la escultura bajo un ángulo de 42º y el pedestal bajo un ángulo de 18º. Calcula la altura de la escultura.
Pregunta en y en 1 temas más

Atascado en problema de trigonometría

1.- Un compás tiene una longitud de brazos de 11 cm. A) ¿Qué ángulo tenemos que tener entre los brazos del compás para dibujar un círculo de radio 5 cm?.b) Si se abren los brazos un ángulo de 42º, ¿Cuánto medirá la circunferencia que se dibuja con el...
Pregunta en

¿Wav "estropeado"?

El otro día puse a grabar 9 horas de audio conectando mi portátil a la mesa de mezclas del local, lo conecté a una de las salidas libres y vi claramente como se iba grabando todo correctamente.. Usé Mac osx Leoard y el programa Audacity, y vi la...

Suscríbete RSS