Pregunta en
Matemáticas
y en 2 temas más
Como resolver integral definida por suma de riemann
Me quede atorado en el siguiente paso: ∫_0^2 (9x^3-1/2 x^2) dx f(x)=9x^3-1/2 x^2 , a=0,b=2 ∆x=(2-0)/n=2/n xi=0+i(2/n)=2i/n f(x)=9(2i/n)^3-1/2 (2i/n)^2 En este ultimo paso no logro simplificarlo espero me puedan ayudar.
Pregunta en
Matemáticas
y en 2 temas más
Como solucionar Derivada de funciones trascendentes
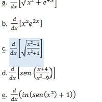
Pregunta en
Matemáticas
y en 2 temas más
Como desarrollar Derivación de orden superior e implícita.
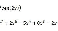
Pregunta en
Matemáticas
y en 2 temas más
Como desarollar la aplicación de las derivadas
Pregunta en
Cálculo
y en 2 temas más
Como generar el desarrollo de Derivación de orden superior e implícita.
Pregunta en
Matemáticas
y en 2 temas más
Como resolver Derivada de funciones trascendentes
Pregunta en
Matemáticas
y en 1 temas más
Formas de Solucionar límites y continuidad
Pregunta en
Matemáticas
y en 1 temas más
Continuidad de funciones calculo diferencial
Pregunta en
Matemáticas
y en 3 temas más
