Pregunta en
Matemáticas
y en 2 temas más
¿Me podrían realizar esto de las funciones de matemáticas? (3 parte)
Pregunta en
Matemáticas
y en 2 temas más
¿Me podrían realizar esto de las funciones de matemáticas? (2 parte)
Pregunta en
Matemáticas
y en 2 temas más
¿Me podrían realizar esto de las funciones de matemáticas?
Pregunta en
Matemáticas
y en 2 temas más
¿Me podrían resolver esto de las funciones matemáticos? (3)
Pregunta en
Matemáticas
y en 2 temas más
¿Me podrían resolver esto de las funciones matemáticos? (2)
Pregunta en
Matemáticas
y en 2 temas más
¿Me podrían resolver esto de las funciones matemáticos?
Pregunta en
Matemáticas
y en 2 temas más
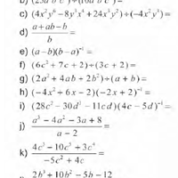
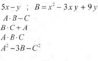
¿Me podrían resolver esto de matemáticas?
Expresa la altura h de un triángulo en función de su área si su base mide 8 m.
