Pregunta en
Física
Ejercicio de física del tema Trabajo
Una fuerza? =(6.00?̂−2.00?̂) N actúa sobre una partícula que experimenta un desplazamiento Δ?⃗⃗⃗⃗ en la dirección del vector unitario 0.800?̂+0.600?̂ . (a) Hallar el ángulo entre? Y Δ?⃗⃗⃗⃗ . (b) Si el trabajo realizado sobre la partícula por...
Pregunta en
Física
Calcular coeficiente de friccion y tension de la cuerda
Pregunta en
Matemáticas
Resolver la siguiente ecuación diferencial
Me podrían colaborar por favor con la solución de esta ecuación diferencial y de igual manera indicar si es una ecuación diferencial lineal homogénea con coeficientes constantes o diferenciales lineales no homogéneas y''+2y'-8y=0
Pregunta en
Matemáticas
Ecuaciones diferenciales por el método de coeficientes indeterminados
Me pueden colaborar por favor con esta ecuación diferencial por el método de coeficientes indeterminados y"+3y'+2y=3x+1
Pregunta en
Física
Un submarino se sumerge desde la superficie del agua en un ángulo de 20.0° bajo la horizontal, siguiendo una trayectoria recta d
Me pueden colaborar con este ejercicio de vectores por favor. Muchas gracias Un submarino se sumerge desde la superficie del agua en un ángulo de 20.0° bajo la horizontal, siguiendo una trayectoria recta de 50.0 m de largo. (a) ¿A qué distancia está...
Pregunta en
Matemáticas
Resolver la ecuación diferencial hallando el factor integrante
6xydx+(4y+9x^2)dy=0 Me pueden colaborar por favor con esta ecuación diferencial.
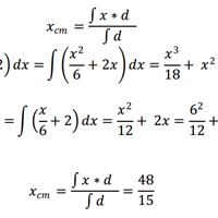
Pregunta en
Matemáticas
y en 1 temas más
Hallar la longitud de lo siguiente - integrales
Hallar la longitud de y=x^3/6 + 1/2x entre x=1 y x=3
Pregunta en
Matemáticas
Hallar el área de una superficie lateral del solido - calculo integral
Hallar el área de una superficie lateral del solido que se obtiene al rotar la gráfica de y=2raiz cuadrada de x entre x=3 y x=8 alrededor del eje x
Pregunta en
Matemáticas
y en 1 temas más
Cálculo de áreas entre gráficas
Hallar el área que hay entre las gráficas de f(x)=x^2+2 g(x)=1-x entre x=0 y x=1
