Actividad pública reciente
Ha valorado "Excelente" la respuesta
¿Cómo debe dibujarse la gráfica?
· · ¡Hola Itzel! Ya respondí esa pregunta, te doy el enlace a la pregunta. No olvides volver luego para valorarla: Determinar si la función es continua o si presenta intervalos. Y ahora hay que escribir alguna línea aquí abajo. Porque si no vienen...
Ha valorado "Excelente" la respuesta
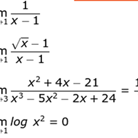
¿Cuáles son los límites y sus gráficas?
Ha valorado "Excelente" la respuesta
¿Qué tipo de movimiento representa esta gráfica?
Ha valorado "Excelente" la respuesta
¿Cuál es el tamaño de la población después de 8 horas?
· · ¡Hola ITZEL! Ya resolví ese ejercicio, te doy en enlace a la respuesta. NO olvides volver después aquí para valorarla. En condiciones ideales una colonia de bacterias se triplica cada dos hora, supóngase que hay a Número Naturalcantidad de...
Ha valorado "Excelente" la respuesta
¿Cuál es la altura en el punto máximo?
· · ¡Hola ITZEL! Ya respondí este ejercicio, te doy el enlace a la respuesta. No olvides volver después aquí para valorar la respuesta. . Lee y analiza, posteriormente desarrolla y resuelve los siguientes planteamientos en un archivo de procesador de...
Ha empezado a seguir a
Ha valorado "Excelente" la respuesta
¿Qué tipo de función de distribución de probabilidad es?
Ha valorado "Excelente" la respuesta
¿Con cuál función de distribución de probabilidad se resuelve el ejercicio?
Ha valorado "Excelente" la respuesta

