Pregunta en
Física
y en 2 temas más
¿El valor inicial de la velocidad de una pelota lanzada hacia arriba?
Una pelota se lanza hacia arriba (ángulo de 90°) alcanzando una altura máxima de 4.8 m. El valor de la velocidad inicial en m/s es:
Pregunta en
Matemáticas
y en 3 temas más
¿Calcular áreas en gráficas usando una sola integración?
Respuesta
en
Matemáticas
y en 1 temas más
a
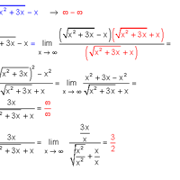
Como resolver este limite de cálculo integral
Respuesta
en
Cálculo
y en 1 temas más
a
