Pregunta en
Matemáticas
y en 2 temas más
Ejercicio Funcion Cuadratica ayuda porfa se agradeseria :s
Pregunta en
Matemáticas
Analisis grafico de la funcion ayuda porfa ;z
Realize un analisis grafico de F(x) = -2x^2-4x+3 identificando: concavidad, coordenadas del vertice, intervalos de monotonia, ceros de la funcion, intercepto con el eje y, dominio, recorrido, grafica de la funcion
Sin respuestas
Pregunta en
Matemáticas
y en 1 temas más
Ayuda porfa estadistica bivariada :z
Estadistica bivariada ayuda porfa estadistica en 2 variables. - Realizar un análisis marginal(media, varianza y desviación de cada variable) se agradece con exelente.
Sin respuestas
Pregunta en
Matemáticas
y en 3 temas más
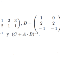
Calcular La Inversa De Matrices ayuda porfa
Pregunta en
Matemáticas
y en 2 temas más
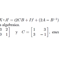
Calcular Matrices si es posible :z ayuda por favor
Pregunta en
Matemáticas
y en 3 temas más
Calcular, Usar tranformaciones elementales En Matrices D:
Sin respuestas
Pregunta en
Matemáticas
y en 3 temas más
Ayuda ejercicio de una matriz y comprobaciones :z
Pregunta en
Matemáticas
y en 3 temas más
Ayuda Por Favor Resolver una ecuación de matrices :S
Pregunta en
Matemáticas
y en 1 temas más
