Pregunta en
Microsoft Word
y en 2 temas más
Como elimino estos espacios tan horribles al justificar texto en word
Pregunta en
Ingeniería Eléctrica
y en 3 temas más
En mediciones eléctricas como se calcula la resolución
No estoy muy seguro. Pero tengo entendido que escala menor-escala mayor/el numero de divisiones que presenta el instrumento
Pregunta en
Ingeniería Eléctrica
y en 2 temas más
¿Como se expresa la sensibilidad voltimetrica y amperimetrica? (mediciones eléctricas)
Se supone que la sensibilidad es: "Es el umbral mínimo de detección de un instrumento de medición. Por lo general la sensibilidad de un instrumento está relacionada con la capacidad del instrumento para producir una lectura, es decir, la menor...
Pregunta en
Física
y en 2 temas más
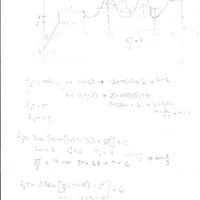
En esta función como hallo el angulo de fase
Pregunta en
Ingeniería Electrónica
y en 2 temas más
Como puedo hallar el angulo de arranque de una función senoidal cuando esta no se a iniciado en t(s) eje "x".
Pregunta en
Ingeniería Electrónica
y en 2 temas más
¿Qué pasa si un circuito impreso pierde parte "de parte de lo verde" seguiría funcionando o no?
Vi una tarjeta en mi casa y me llamo la atención esto quisiera saber
Pregunta en
Ingeniería Electrónica
y en 3 temas más
Con que programa podría hacer circuitos como estos
Pregunta en
Matemáticas
y en 2 temas más
¿En los siguiente polinomio de variable compleja como hallo los valores que me hacer 0 a la función?
Sin respuestas
Pregunta en
Ingeniería Electrónica
y en 2 temas más
Como hallo el valor de estas resistencias en este circuito
Pregunta en
Ingeniería Eléctrica
y en 4 temas más
¿Que relación existe entre la resistencia de un conductor, sección y longitud y otro conductor del mismo material sección S_1=3S
Al aplicar la fórmula R=ro(l)/s me queda otro resultado que no es cuando el resultado debería ser 6
