Fernanda ramos

Fernanda ramos

responsabilidad mas esfuerzo igual a exito
 Santander de Quilichao, Colombia @fernandasomar desde - visto
Preguntar

Preguntas

Pregunta en y en 3 temas más

Encontrar los valores de (a) que hace que la función a trozos sea continua en una función trigonometrica?

¿Resolver el siguiente ejercicio de funciones en calculo diferencial?
Pregunta en y en 3 temas más

¿Cómo resolver ejercicios con funciones trigonométricas?

Resolver el siguiente ejercicio de funciones trigonometricas en limites?
Pregunta en y en 3 temas más

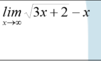
Como resuelvo el siguiente ejercicio de limites al infinito?

¿Resolver el siguiente ejercicio aplicando limites al infinito en calculo diferencial?
Pregunta en y en 3 temas más

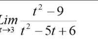
Como se resuelve el siguiente ejercicio de limites de forma indeterminada?

Resolver el siguiente ejercicio aplicando la forma indeterminada
Pregunta en y en 3 temas más

¿Cómo resolver el siguiente ejercicio de limites principio de sustitución?

Como resolver el siguiente ejercicio aplicando el principio de sustitucion
Pregunta en y en 4 temas más

Como resolver ejercicios de función lineal

¿Resolver el siguiente ejercicio función lineal y parejas ordenadas? Y= -7x -4
Pregunta en y en 4 temas más

Como resolver función lineal y calculo

¿Resolver la siguiente función lineal y calculo de parejas ordenadas? Y= -6x+3
Pregunta en y en 4 temas más

Como se resuelven ejercicios sobre proceso adiabatico?

Un gas monoatómico experimenta una expansión adiabática desde un estado inicial de 400 K y 4 L a un estado final de 200 K. Determine cuál es el valor final de la presión y el volumen?. (Como tipo, inicie calculando el coeficiente de dilatación...
Pregunta en y en 4 temas más

¿Según en calculo intregal como debemos resolver ejercicios sobre integrales?

Resolver el siguiente ejercicios según las propiedades a tener en cuenta para su solución
Pregunta en y en 4 temas más

Como aplicar la solución de ejercicios de derivadas en calculo integral

Resolver la siguiente integral según las propiedades de las integrales