Esteban Gonzalez

Esteban Gonzalez

 Colombia @estebangonzalez3 desde - visto
Preguntar

Preguntas

Pregunta en

Quien sabe más de física general

Colisiones Dos objetos de forma circular, se encuentran en una mesa horizontal sin fricción, colisionan de tal manera que el objeto que tiene una masa de V1 kg (M1), es lanzado con rapidez V2 m/s (v) hacia el segundo objeto, de V3 kg (m2) de masa,...
Sin respuestas
Pregunta en

Quien es el mejor en física

Una esfera del dragón de V1 kg (m) de masa se suelta desde la parte más alta de un plano inclinado sin rozamiento y llega al suelo (Parte baja del plano inclinado) con una velocidad de V2 m/s (v)Teniendo en cuenta que la energía mecánica inicial es...
Pregunta en y en 1 temas más

Mejores resultados en los trabajos

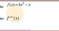
Algún experto que me oriente por favor. 1. Aplicando los conceptos de la derivación calcular las siguientes derivadas. 2. 3. Calcular las siguientes derivadas de orden superior.
Sin respuestas
Pregunta en y en 1 temas más

Compartamos ideas para un mejor aprendizaje

Algún experto en temas de calculo que me quiera colaborar con estos ejercicios que están un poco duros para mi. Gracias. Ejercicio 1 ejercicio 2
Pregunta en y en 1 temas más

Compartamos ideas y así aprender más

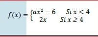
Alguien que este más avanzado en estos temas que me colabore con estos ejercicios de calculo diferencial que no logro entenderlos, gracias. Límites al infinito Límites de funciones Trigonométricas
Pregunta en y en 1 temas más

Compartamos ideas para aprender más

Alguien que este más avanzado en estos temas que me colabore con estos ejercicios de calculo diferencial que no logro entenderlos, gracias. Principio de sustitución: Forma indeterminada Límites al infinito Límites de funciones Trigonométricas
Pregunta en

Que fórmula puedo utilizar para resolver este problema

En una colonia de abejas, en el primer día de investigación, alumnos de Ingeniería Agrícola contabilizaron 3 abejas, el segundo día habían 9, el tercero habían 27. ¿Cuántas abejas nacieron hasta el 10 día?¿Cuántas abejas habían después de un mes? (En...
Sin respuestas
Pregunta en

Alguien que me oriente la respuesta

La suma de los términos de una Progresión aritmética es 425 y su término central es 17. Hallar el número de términos.
Pregunta en y en 1 temas más

Realice el siguiente problema mediante tablas de inferencia.

La Escuela de ciencias Básicas Tecnologías e Ingenierías ECBTI de la UNAD realizó como evento disciplinar unas Olimpiadas Matemáticas Virtuales. El Líder Nacional de la Escuela le ha informado al decano Nacional de Escuela como fue la premiación, el...
Sin respuestas
Pregunta en

Matemáticas y no entiendo este problema

El sistema [ (1,0,-1) , (0,2,3) , (1,4,-1) ] es base de ?