Preguntas esperando respuesta
Actividad pública reciente
Ha valorado "Excelente" la respuesta
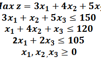
Dado el siguiente modelo matemático resuelva por el método gráfico y calcular el valor de z:
En los siguientes enlaces está la información que necesitas: http://www.programacionlineal.net/simplex.html http://www.unizar.es/3w/Materiales/ADD/Programacion_Lineal/problemas/problemas_resueltos_webCT.pdf...
Ha preguntado en el tema en
Ingeniería Industrial
y en 4 temas más
Investigación Operativa: A partir del siguiente modelo primal realice el análisis de sensibilidad ...
A partir del siguiente modelo primal realice el análisis de sensibilidad con el programa tora y determine el valor de los costos reducidos: Seleccione una: a. 5, 0.67, 0. B. 5, 0, 0.67. C. 0, 5, 0.67. D. 0.67, 5, 0. E. 5, 0.5, 0.67.
Sin respuestas
Ha preguntado en el tema en
Ingeniería Informática
y en 4 temas más
Investigación Operativa: Resuelva el siguiente programa lineal usando el software tora y determine la solución optima:
Resuelva el siguiente programa lineal usando el software tora y determine la solución optima: Seleccione una: a. 260. B. 262.5. C. 230. D. 320.5. E. 250.
Sin respuestas
Ha valorado "Excelente" la respuesta
Matemática financiera: Suponga que usted recibirá 5.000 soles al inicio de...
· · ¡Hola Edison! Solo hay que utilizar la fórmula par el valor actual (presente). Pero antes calcularemos la tasa trimestral y el número de trimestres i = 0.08 / 4 = 0.02 n = 4·4 = 16 Y eso es todo, saludos. : :
Ha valorado "Excelente" la respuesta
Matemática financiera: Una empresa pidió dinero prestado que debe ser ...
· · ¡Hola Edison! Partimos de la fórmula de cálculo de la cuota del préstamo francés que es la que conozco. : :
Ha valorado "Excelente" la respuesta
Matemática financiera: El Club “Garzas Reales de Villa” (perteneciente al BCP)
· · ¡Hola Edison! Debemos hallar la cuota de una renta pospagable a 10 años al 10% que tenga un valor actual de 1100000. La fórmula del valor actual de la renta pospagable es: : :
Ha valorado "Excelente" la respuesta
Matemática financiera: Usted quiere retirarse en el día que tenga S/. 750.000 ...
· · ¡Hola Edison! Esos $750000 serán el valor actual de una renta pospagable, luego aplicando la fórmula será : :
Ha preguntado en el tema en
Profesores
y en 4 temas más
Investigacion Operativa: Dado el siguiente modelo matemático resuelva por el método gráfico y calcular el valor de z:
Dado el siguiente modelo matemático resuelva por el método gráfico y calcular el valor de z: Seleccione una: a. 160. B. 120. C. 240. D. 280. E. 320.
Sin respuestas
Ha preguntado en el tema en
Matemáticas
y en 4 temas más
Investigación Operativa: Dado el siguiente modelo matemático resolver por el método...
Dado el siguiente modelo matemático resolver por el método simplex y calcular el valor de z: Seleccione una: a. 121.08. B. 221.05. C. 322.09. D. 402.01. E. 222.09.
Sin respuestas
Ha preguntado en el tema en
Matemáticas
y en 2 temas más
Matemática financiera: Un material de cubierta anti-incendios, se puede...
Un material de cubierta anti-incendios, se puede instalar en un almacén de la empresa Delta SAC, a un costo de 10.000 dólares. Si la empresa espera recuperar su inversión en siete años, a través de menores costos de energía, los ahorros anuales...
Ha valorado "Excelente" la respuesta
Matemática Financiera: El Banco Continental realiza un préstamo de 8000...
· · ¡Hola Edison! Piensa un poco. ¿Tú le vas a devolver menos dinero al banco del que te prestó? Luego la única respuesta posible es la d) Aun así lo haremos por si no pusieron bien la respuesta. La fórmula que calcula la cuota es: Pues o están mal...
Trabajo
-
recupera
supervisor , 2015 - actualidad
Educación
-
lorena
Turismo , 2009 - 2012


