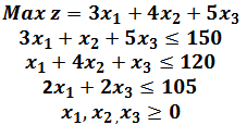
Investigación Operativa: Dado el siguiente modelo matemático resolver por el método...
Dado el siguiente modelo matemático resolver por el método simplex y calcular el valor de z:

Seleccione una:
a. 121.08.
b. 221.05.
c. 322.09.
d. 402.01.
e. 222.09.