Mitsuki  .....

Mitsuki .....

Lo unico imposible es aquello que no intentas =D
 Colombia @dayanacaballero desde - visto
Preguntar

Preguntas

Pregunta en y en 4 temas más

Calcula la altura del edificio

Un edificio proyecrta una sombra de 56m cuando el angulo de elevación del sol es de 24°11'23, calcula la altura del edificio.
Pregunta en y en 4 temas más

Calcula la distancia del avión

Un avión que vuela a 1800mts de altura se observa desde una pequeña isla con un angulo de elevación de 20°, calcula la distancia horizontalmente medida que hay desde la isla hasta el punto directamente debajo del avión.
Pregunta en y en 4 temas más

¿Cómo consideran que se interrelacionan la Administración, con la Economía y la Contabilidad?

Serian tan amables y me podrían colaborar dándole solución a la pregunta ya que ustedes son más conocedores de este tema. Cómo consideran que se interrelaciona la Contabilidad, con la Economía y la Administración, en el funcionamiento de cualquier...
Sin respuestas
Pregunta en y en 3 temas más

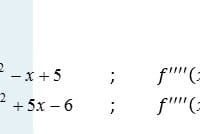
Quien puede resolver estas derivadas

Calular las siguientes derivadasde orden superior
Pregunta en y en 3 temas más

Quien puede resolver ejercicios fase 1 derivadas

Calcular las siguientes derivadas implícitas:
Pregunta en y en 2 temas más

Quien puede hacer un discurso

Redactar y desarrollar un discurso no maximo de tres parrafos (6 lineas) con base a las siguientes pregunta ¿Cuál es la importancia de ser receptivo (saber leer, saber escuchar) en una sociedad como la colombiana?, reflexionar sobre estas preguntas:...
Sin respuestas
Pregunta en y en 3 temas más

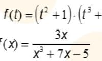
Pueden resoler ejercicios de derivadas

Ejecercicio Aplicando las reglas de la derivación calcular las siguientes derivadas:
Pregunta en y en 3 temas más

Pueden resolver ejercicios fase 1 derivadas

Aplicando las reglas de la derivación calcular las siguientes derivadas:
Pregunta en y en 3 temas más

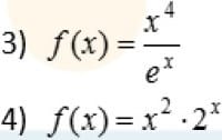
Ejercicio calcular las siguientes derivaciones

Ejercicios derivadas Aplicando las reglas de la derivación calcular las siguientes derivadas:
Pregunta en y en 4 temas más

Aplicando las reglas de la derivación calcular

Ejercicios Aplicando las reglas de la derivación calcular las siguientes derivadas: