Preguntas esperando respuesta
Actividad pública reciente
Ha empezado a seguir a
Ha empezado a seguir a
Ha empezado a seguir a
Ha valorado "Excelente" la respuesta
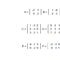
Sistemas de ecuaciones mediante matrices
· No suelen usarse las matrices para resolver sistemas de 2 incógnitas, pero puede hacerse 1) 3 -4 | 6 5 9 | 10 dividimos la primera entre 3 1 -4/3 | 2 5 9 | 10 La primera multiplicada por 5 se resta a la segunda 1 - 4/3 | 2 0 9+20/3 | 0 No hace...
Ha preguntado en el tema en
Contabilidad
Procesos contables registro en libro de diario y libro mayor cuentas T
Espero me pueda ayudar gracias .................................................................................................
Sin respuestas
Ha valorado "Excelente" la respuesta
Solución de ecuaciones en bace al sistema de matrices
Ha valorado "Excelente" la respuesta
Ecuación de matemáticas en base a los valores de una tabla
Ha valorado "Excelente" la respuesta
Determina la ecuación de la recta a partir de la información dada
· En la ecuación de la recta dada en la forma y = mx + b M es la pendiente B es el corte con el eje Y Luego 1) y = (2/5)x + 3 · 2) El punto (0,-1) es un punto del eje Y luego sirve lo mismo de antes y = -4x - 1 · 3) La formula para hallar la ecuación...
Ha valorado "Excelente" la respuesta
Determina si la pendiente de cada recta pasa por los puntos dados del plano cartesiano
La pendiente de una recta que pasa por dospuntos es el el incremento de la variable y entre el incremento de la variable x. Mejor que ponga la fórmula: Y eso es todo.
Ha empezado a seguir a
Ha empezado a seguir a
Ha empezado a seguir a
Ha empezado a seguir a


