Preguntas esperando respuesta
Actividad pública reciente
Ha empezado a seguir a
Ha empezado a seguir a
Ha valorado "Excelente" la respuesta
Que diferencia hay entre una tasa de interés real de -5% y una del -40%
· Con ambas tasas se pierde poder adquisitivo, pero con la del -40% se pierde mucho más. Quieren decir lo siguiente: Para el -5% Yo tenia dinero para comprar 100 unidades de lo que sea, en lugar de comprarlas lo que hago es imponerlo en un banco con...
Ha empezado a seguir el tema Ciencias económicas
Ha empezado a seguir el tema Matemáticas
Ha empezado a seguir el tema Cálculo
Ha valorado "Excelente" la respuesta
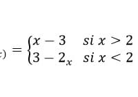
¿Determina los intervalos de crecimiento y de decrecimiento de la función así como los de concavidad para la siguiente función?
Ha valorado "Excelente" la respuesta
¿Quién sabe aplicar los conocimientos generales de una función racional o exponencial?
· Ya respondí esta pregunta en la otra donde mandaste las correcciones del enunciado. http://www.todoexpertos.com/preguntas/5r67m6c6x55xcgle/quien-sabe-aplicar-los-conocimientos-generales-de-una-funcion-racional-exponencia-u-otra · No olvides puntuar...
Ha valorado "Excelente" la respuesta
¿Quién sabe aplicar los conocimientos generales de una función racional, exponencia u otra?
Ha valorado "Excelente" la respuesta
¿Quién sabe aplicar los conocimientos generales de una función de costos, ingresos y utilidades?
Ha valorado "Excelente" la respuesta
