Respuesta
en
Matemáticas
y en 1 temas más
a
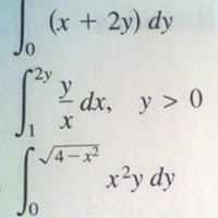
Ayuda con Integrales definidas de dos variables
Respuesta
en
Matemáticas
a
CALCULO, urgente
Me queda una ecuación de grado 3 con un coeficientes reales. Solo he podido resolverla utilizando métodos informáticos y que una riz real y dos complejas i=0.0492482 i=(-1.49462,-0.856337) i=(-1.49462,0.856337) La duda que me queda es si he entendido...
Respuesta
en
Matemáticas
a
Necesito ayuda con la Fórmula de Bayes
Respuesta
en
Matemáticas
a
Demostrar por inducción matemática
1)para el caso n=1 ((1+1)/1)^1 <= 1+1 en este caso queda 2<=2 que es cierto 2) lo suponemos para n=k, veamos que es cierto para k+1 ((k+1+1)/(k+1))^(k+1) <= k+1+1 ((k+1+1)/(k+1))^(k+1)=((k+2)/(k+1))^(k+1)=(1+1/(k+1))^(k+1)=(1+1/(k+1))^k · (1+1/(k+1))...
Respuesta
en
Matemáticas
a
Matemáticas.. Ayuda !
1) Supongo que te refieres a placas de matrícula como las españolas, donde las letras y los números están agrupagos, (primero 4 números y luego 3 letras) Supongo 26 letras (a,b,c,d,e,f,g,h,i,j,k,l,m,n,o,p,q,r,s,t,u,v,w,x,y,z) Como sí importa el orden...
Respuesta
en
Matemáticas
a
Ayuda con las matemáticas
1) La relación entre el ángulo, arco y el radio es ángulo=S/r si lo medimos en radianes pero si lo medimos en grados es ángulo=S·360/(2·PI·r) en este caso ángulo=12·360/(2·PI·4)=171,88º 2) Es una regla de 3 2PI----------> 360 PI/15 -----> x...
Respuesta
en
Matemáticas
a
Problema de calculo diferencial
Si x es el lado del cuadrado que recortas en las esquinas, la base de la caja tiene de lado 10-2x y de altura x el volumen de la caja es f(x)=(10-2x)^2 · x= 100x-40x^2+4x^3 calculamos su derivada e igualamos a 0 para calcular el máximo...
Respuesta
en
Matemáticas
a
Problemas matematicos . Maximos y Minimos
X: Lado del rectatangulo por el que son adyacentes y: el otro lado El alambre necesaria es la suma del perímetro de los dos rectángulos menos la longitud de la pared común (por ser adyacentes). perimetro =100= 3x+4y despejamos y= 25-3x/4 la función...
Respuesta
en
Matemáticas
a
Problemas Matematicos, Maximos y Minimos
Perdón me he equivocado y he operado con 1000 en vez de con 100. Sería: X: Lado del rectatangulo por el que son adyacentes y: el otro lado El alambre necesaria es la suma del perímetro de los dos rectángulos menos la longitud de la pared común (por...
Respuesta
en
Matemáticas
a
División entre infinitos.
infinito/infinito es una indeterminación, o lo que es lo mismo puede dar distintos valores, así por ejemplo Limite cuando x-> infinito de x^2/x =infinito. Limite cuando x-> infinito de x/x^2 =0. Limite cuando x-> infinito de 3x+1/2x =3/2 No hay una...
