Preguntas esperando respuesta
Actividad pública reciente
Ha preguntado en el tema en
Redes de computadores
Tamaño de tramas de los protocolos
Alguien sabe por favor que tamaño tienen las tramas de los protocolos HDLC, PPP, Frame Relay, ATM, RDSI, X.25 y DSL. Solo se que la trama del protocolo HDLC tiene un tamaño de 9 bytes, pero las demás no.
Sin respuestas
Ha empezado a seguir el tema Cálculo
Ha preguntado en el tema en
Matemáticas
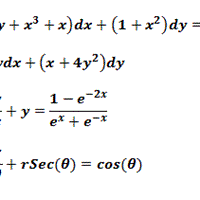
Hallar la solución general de las siguientes ecuaciones

Sin respuestas
Ha empezado a seguir a
Ha cambiado su perfil.
- Ha cambiado su foto.
Ha cambiado su perfil.
- Nombre completo: Atlas Fc.
Ha valorado "Excelente" la respuesta
Ecuación diferencial de la familia de circunferencias de radio 7 cuyo centros están en el eje x
Ha valorado "Excelente" la respuesta
Determinar si es linealmente dependiente
Ha preguntado en el tema en
Tecnología e Internet
y en 1 temas más
Problemas Sistema Operativo Windows 8
Muy buenas tardes, alguien me podría ayudar con una laptop Samsung la cual tiene Windows 8 Single Language. El problema es que me despliega un mensaje donde dice lo siguiente: Memoria insuficiente en el equipo. Para restaurar memoria suficiente para...
Sin respuestas
Ha valorado "Excelente" la respuesta
Problema de calculo diferencial
Ha empezado a seguir a
Ha valorado "Excelente" la respuesta