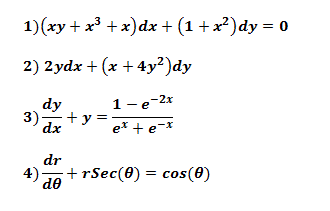
Hallar la solución general de las siguientes ecuaciones
Buenas noches, me podrían ayudar por favor con las siguientes ecuaciones para hallar su solución general.

Buenas noches, me podrían ayudar por favor con las siguientes ecuaciones para hallar su solución general.
