ana chaires

ana chaires

 México @anachaires2 desde - visto

Preguntas

Pregunta en

Como se realizan estos problemas de costo, en calculo

Estoy perdida con estos problemas de calculo, me pueden ayudar por favor. :)
Pregunta en y en 1 temas más

Problemas calculo integral dudas sobre este tema

Hola me pueden ayudar a resolver por favor el siguiente cuestionamiento. Saludos y gracias
Pregunta en y en 1 temas más

Costo marginal y costo total, dificultades para resolverlo

Hola que tal, me pueden ayudar a resolver estos cuestionamientos por favor, se los agradecería muchísimo.
Sin respuestas
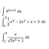
Pregunta en y en 1 temas más

Integrales, tengo problemas con estos

Hola me pueden ayudar, tengo dudas sobre como hacer estas integrales.

Suscríbete RSS