Adrian Bielostotzky Parra

Adrian Bielostotzky Parra

 Venezuela @adrianbielostotzkyparra desde - visto
Preguntar

Preguntas

Pregunta en y en 2 temas más

Me piden resolver y calcular el dominio de esta función para mate 1 en función raíz

Por su apoyo. Y colaboración. No he podido solucionarla.
Pregunta en

Me pueden indicar como resuelvo este ejercicio?

Gracias por su aporte. Les calificare excelente paso por paso
Pregunta en y en 1 temas más

Problema con ejercicio de Derivada

Pregunta en y en 1 temas más

Problema con ejercicio de Matemática

Pregunta en y en 2 temas más

Una duda con respecto a este Ejercicio

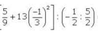
Me ayudan con este ejercicio
Pregunta en y en 1 temas más

Una duda con un ejercicio de matematica

Pregunta en

Problema de Derivación. Matemática uno

Muy agradecido con su apoyo Saludos.