Bioquímica

661 seguidores
Preguntar

Preguntas esperando solución

Pregunta en y en 2 temas más de

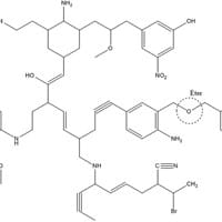
¿De acuerdo con el siguiente compuesto complejo en química orgánica definir?

(Alqueno, alquino, benceno sustituido, alcohol, fenol, éter, amina, nitrilo, nitro), como se observa en el ejemplo.
Sin respuestas
Pregunta en y en 2 temas más de

Tengo 16 año y quiero hacer un ciclo de 6 semana de winstrol

Tengo 16 año peso 42 kilo y mido 1.70 soy super delgado y quisiera hacer un ciclo de 6 semana de winstrol que dosis me recomendaría y que desintoxicante debo usar?
Sin respuestas
Pregunta en y en 2 temas más de

¿Es posible la electrolisis del KCl?

Me gustaría saber si se puede obtener cloro mediante la electrolisis de una disolución de KCl, o en caso no se pueda, que resultados tendría este proceso.
Sin respuestas
Pregunta en y en 3 temas más de

Me gustaría saber un listado de sustancias que contengan NaCl en su composición química (como el agua de mar)

Se que el agua de mar contiene NaCl, pero también quisiera saber si existen otras sustancias que contengan NaCl o si existe algún tipo de desecho industrial que también contenga el mismo compuesto.
Sin respuestas
Pregunta en y en 2 temas más de

1. Identificar los diferentes grupos funcionales luego selecciona con un círculo y ubica el nombre al lado de cada uno.

Identificar los diferentes grupos funcionales Los selecciona con un círculo y ubica el nombre al lado (alqueno, alquino, benceno sustituido, alcohol, fenol, éter, amina, nitrilo, nitro), como se observa en la imagen. Alguien sabe que me ayude
Sin respuestas
Pregunta en y en 2 temas más de

Los alcoholes son compuestos que presentan en su estructura química el grupo hidroxilo.predecir la reaccion de la imagen

Buendia; Su colaboracion con la siguiente pregunta: Los alcoholes son compuestos que presentan en su estructura química el grupo hidroxilo –OH, estos compuestos experimentan reacciones de oxidación permitiendo la formación de aldehídos en el caso de...
Sin respuestas
Pregunta en y en 2 temas más de

3. Calcule el pH después de de la adición de 0.0; 5.00; 15.00; 25.00; 40.00; 45.00; 49.00; 50.00; 51.00; 55.00 y 60.00 de NaOH 0

Calcule el pH después de de la adición de 0.0; 5.00; 15.00; 25.00; 40.00; 45.00; 49.00; 50.00; 51.00; 55.00 y 60.00 de NaOH 0.100 M en la valoración de 50.00 mL de ácido acético 0.1000 M. Finalmente grafique pH Vs Volumen de NaOH.
Sin respuestas
Pregunta en y en 2 temas más de

• Se realizó una medición para determinar la concentración de CO2, la cual correspondió a 895µg/m3, exprese esta concentración e

Se realizó una medición para determinar la concentración de CO2, la cual correspondió a 895µg/m3, exprese esta concentración en ppm. Alguien sabe que me ayude.
Sin respuestas
Pregunta en y en 2 temas más de

Sugiera una síntesis eficaz del (E) y (Z)-2hepteno a partir del propino y cualquier reactivo orgánico o inorgánico necesario.

Se que la hidrogenación de alquinos produce alquenos, pero no se como plantear la fórmula ni que solvente utilizar, si alguien me pudiera ayudar.
Sin respuestas
Pregunta en de

5.1. De acuerdo con los conceptos estudiados acerca de isomería de alcanos y cicloalcanos, dibuje dos isomeros C8H12

De acuerdo con los conceptos estudiados acerca de isomería de alcanos y cicloalcanos, dibuje dos isomeros estructurales (molécula con igual número de átomos, pero diferente estructura química o diferente distribución de los átomos en el espacio). El...

Suscríbete RSS