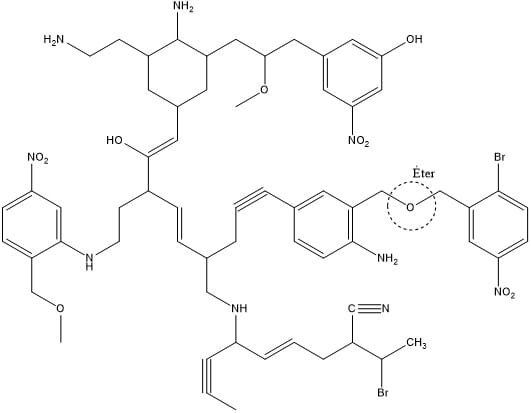
1. Identificar los diferentes grupos funcionales luego selecciona con un círculo y ubica el nombre al lado de cada uno.
Identificar los diferentes grupos funcionales
Los selecciona con un círculo y ubica el nombre al lado (alqueno, alquino, benceno sustituido, alcohol, fenol, éter, amina, nitrilo, nitro), como se observa en la imagen.

Alguien sabe que me ayude