jhonatan claros

jhonatan claros

 325 puntos  Colombia @jhonatanclaros desde - visto
Preguntar

Actividad pública reciente

Ha preguntado en el tema en y en 2 temas más

Determine reactividad de grupos funcionales en reacciones de adición nucleofílica.

Determine la reactividad de los grupos funcionales en reacciones de adición nucleofílica, de mayor a menor. Entre amidas, ester y haluros de ácido. ----------------------, -----------------------------, ----------------------------------.
Sin respuestas
Ha preguntado en el tema en

Dibujar 2 isomeros en cadena lineal con insaturaciones del bromobenceno C6H5Br

Realizar 2 isomeros en cadena lineal con insaturaciones del bromobenceno fórmula molecular C6H5Br
Sin respuestas
Ha preguntado en el tema en y en 2 temas más

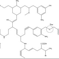
¿De acuerdo con el siguiente compuesto complejo en química orgánica definir?

(Alqueno, alquino, benceno sustituido, alcohol, fenol, éter, amina, nitrilo, nitro), como se observa en el ejemplo.
Sin respuestas
Ha respondido en y en 2 temas más

9.3. Identifique cuál es el estereoisómero cis y cuál es el trans. Explique su respuesta.

El estereoisómero cis es el de la estructura B Y el estereoisómero trans es el de la estructura A Debido a que en el isómero Cis los sustituyentes están en el mismo enlace o en la misma cara y el isómero trans están en caras opuestas o en lados...