Álgebra

126 seguidores
Este tema está pendiente de aprobación
Preguntar

Preguntas esperando solución

Pregunta en y en 1 temas más de

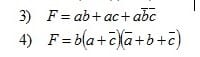
Álgebra boolena: tabla de valores

Es para mi curso de matemática discreta
Sin respuestas
Pregunta en de

Hallar la tabla de valores de las que se originan

Su ayuda con el desarrollo de la siguiente función:
Sin respuestas
Pregunta en de

Ana encontró un cartón rectangular en su casa y decide reciclarla realizando con él una caja sin tapa para guardar en ella los c

En este caso tenemos cinco rectángulos por lo tanto debemos obtener la expresión para cada uno, para la Superficie 1 (S1) la base es por y la altura es 20 – 2x, entonces la expresión de la Superficie 1 sería:
Sin respuestas
Pregunta en y en 1 temas más de

Como se resuelve ... Calcule la suma

Me prodrian dar la resolución no entiendo por donde empezar
Pregunta en y en 1 temas más de

Procesos industriales como aplica el álgebra ejemplos

Necesito problemas donde aplico el álgebra sobre procesos industriales en la fórmula general y factorización
Sin respuestas
Pregunta en y en 2 temas más de

Permutaciones en algebra abstracta...estructuras algebraicas!

Esperando contar con su valioso apoyo, de antemano muchas gracias! ¿Cuáles de las siguientes funciones de R en R son permutaciones de R? F_3: R → R definida por 〖 f〗_3 (x)=-x^3 f_4: R → R definida por f_4 (x)=e^x f_5: R → R definida por f_5 (x)=x^3-x^2-2x
Sin respuestas
Pregunta en de

2. En cada uno de los siguientes números, indica el valor posicional que tienen los números indicados.

34, 561 indica el valor posicional de los números 4 y 6.124, 487 indica el valor posicional de los números 1, 2, 8 y 7.
Pregunta en de

Como hallar la distancia de un punto a una recta en el espacio?

Dado el punto P(1,4,5) y la recta (x-1)/2 = (y-2)/3 = (z-3)/3 Hallar la distancia entre el punto y la recta, y las coordenadas del punto de la recta que se encuentra a dicha distancia.
Sin respuestas
Pregunta en y en 2 temas más de

Calculo de Valores Críticos de una función

Requiero de su valioso apoyo para este ejercicio, La función y = x^3+9x^2 +26x+6 representa la relación existente entre la cantidad y el costo de las piezas metálicas producidas por DINFUNSA. Determina los valores críticos.Concluye si los valores...
Sin respuestas

Si los sistemas son equivalentes y compatibles, hallar abc:

2x - y =3 3x - cy = 2a x + by = 4 x + 3y = 5 Determina los parámetros a; b; c si están en progresión aritmética en ese orden, y dé como respuesta a.b.c
Sin respuestas

Suscríbete RSS