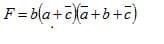
Álgebra Oscar Pérez el 16 nov. 15 Hallar la tabla de valores de las que se originan Su ayuda con el desarrollo de la siguiente función: Seguir Siguiendo Dejar de seguir