Una carga puntual de q= –8 nC se localiza en el origen
Una carga puntual de q= –8 nC se localiza en el origen del sistema coordenado rectangular.
7. ¿Cuál es el vector de campo eléctrico en las coordenadas (1.2, –1.6)? (Las coordenadas están dadas en metros).
Una carga eléctrica q está distribuida uniformemente a lo largo de una línea con longitud 2L ubicada sobre el eje X del sistema coordenado rectangular, entre x= –L y x= L, como se muestra en la figura.

8. ¿Cuál es el campo eléctrico en el punto P sobre el eje Z, a una distancia z del origen?
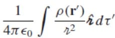
Con base en la expresión, responde falso o verdadero:

9. El producto ρ(r’) . Dτ’ es densidad volumétrica de carga.
10. La expresión completa es un escalar cuyo valor se obtiene cuando a la integral se le ponen límites.
1 respuesta
Respuesta de albert buscapolos Ing°
2