Sistema de ecuaciones 2x2 con coeficientes enteros,
¿Me podrían ayudar por favor?
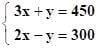
Encontrar dos números tales que, el triple del primero más el segundo es igual, El doble del primero menos el segundo es igual 300
1 respuesta
Respuesta de Luis Alberto Candio Salcedo
1
